(EU) 2020/1806Prováděcí rozhodnutí Komise (EU) 2020/1806 ze dne 25. listopadu 2020, kterým se schvaluje používání funkce setrvačné jízdy při zapnutém motoru v osobních automobilech se spalovacím motorem a v hybridních elektrických osobních automobilech s jiným než externím nabíjením jako inovativní technologie podle nařízení Evropského parlamentu a Rady (EU) 2019/631 a kterým se zrušují prováděcí rozhodnutí Komise 2013/128/EU, 2013/341/EU, 2013/451/EU, 2013/529/EU, 2014/128/EU, 2014/465/EU, 2014/806/EU, (EU) 2015/158, (EU) 2015/206, (EU) 2015/279, (EU) 2015/295, (EU) 2015/1132, (EU) 2015/2280, (EU) 2016/160, (EU) 2016/265, (EU) 2016/588, (EU) 2016/362, (EU) 2016/587, (EU) 2016/1721, (EU) 2016/1926, (EU) 2017/785, (EU) 2017/1402, (EU) 2018/1876, (EU) 2018/2079, (EU) 2019/313, (EU) 2019/314, (EU) 2020/728, (EU) 2020/1102, (EU) 2020/1222 (Text s významem pro EHP)
| Publikováno: | Úř. věst. L 402, 1.12.2020, s. 91-137 | Druh předpisu: | Prováděcí rozhodnutí |
| Přijato: | 1. ledna 2021 | Autor předpisu: | Evropská komise |
| Platnost od: | 8. prosince 2020 | Nabývá účinnosti: | 8. prosince 2020 |
| Platnost předpisu: | Ano | Pozbývá platnosti: | |
Text předpisu s celou hlavičkou je dostupný pouze pro registrované uživatele.
|
1.12.2020 |
CS |
Úřední věstník Evropské unie |
L 402/91 |
PROVÁDĚCÍ ROZHODNUTÍ KOMISE (EU) 2020/1806
ze dne 25. listopadu 2020,
kterým se schvaluje používání funkce setrvačné jízdy při zapnutém motoru v osobních automobilech se spalovacím motorem a v hybridních elektrických osobních automobilech s jiným než externím nabíjením jako inovativní technologie podle nařízení Evropského parlamentu a Rady (EU) 2019/631 a kterým se zrušují prováděcí rozhodnutí Komise 2013/128/EU, 2013/341/EU, 2013/451/EU, 2013/529/EU, 2014/128/EU, 2014/465/EU, 2014/806/EU, (EU) 2015/158, (EU) 2015/206, (EU) 2015/279, (EU) 2015/295, (EU) 2015/1132, (EU) 2015/2280, (EU) 2016/160, (EU) 2016/265, (EU) 2016/588, (EU) 2016/362, (EU) 2016/587, (EU) 2016/1721, (EU) 2016/1926, (EU) 2017/785, (EU) 2017/1402, (EU) 2018/1876, (EU) 2018/2079, (EU) 2019/313, (EU) 2019/314, (EU) 2020/728, (EU) 2020/1102, (EU) 2020/1222
(Text s významem pro EHP)
EVROPSKÁ KOMISE,
s ohledem na Smlouvu o fungování Evropské unie,
s ohledem na nařízení Evropského parlamentu a Rady (EU) 2019/631 ze dne 17. dubna 2019, kterým se stanoví výkonnostní normy pro emise CO2 pro nové osobní automobily a pro nová lehká užitková vozidla a kterým se zrušují nařízení (ES) č. 443/2009 a (EU) č. 510/2011 (1), a zejména na čl. 11 odst. 4 uvedeného nařízení,
vzhledem k těmto důvodům:
|
(1) |
Dne 6. prosince 2018 předložili výrobci Toyota Motor Europe NV/SA, Opel Automobile GmbH – PSA, FCA Italy S.p.A., Automobiles Citroën, Automobiles Peugeot, PSA Automobiles SA, Audi AG, Ford Werke GmbH, Jaguar Land Rover Ltd, Hyundai Motor Europe Technical Center GmbH, Bayerische Motoren Werke AG, Renault, Honda Motor Europe Ltd, Volkswagen AG a dodavatel Robert Bosch GmbH společnou žádost (dále jen „žádost“) o schválení funkcí setrvačné jízdy při zapnutém motoru a při vypnutém motoru pro použití v osobních automobilech poháněných spalovacím motorem a hybridních elektrických osobních automobilech s jiným než externím nabíjením (NOVC-HEV) jako inovativní technologie. |
|
(2) |
Žádost byla posouzena v souladu s článkem 11 nařízení (EU) 2019/631, prováděcím nařízením Komise (EU) č. 725/2011 (2) a technickými pokyny pro přípravu žádostí o schválení inovativních technologií podle nařízení (ES) č. 443/2009 a nařízení (EU) č. 510/2011 (revize z července 2018 (V2)) (3). |
|
(3) |
Žádost se týká snížení emisí CO2, jež nelze prokázat měřením provedeným v souladu s novým evropským jízdním cyklem (NEDC) stanoveným v nařízení Komise (ES) č. 692/2008 (4). |
|
(4) |
Funkce setrvačné jízdy odpojí spalovací motor od poháněcí soustavy a znemožní zpomalení způsobené brzděním motorem. Umožňuje zvýšení dojezdové dráhy vozidla v situacích, kdy není zapotřebí pohonného systému nebo kdy je třeba postupně snižovat rychlost. Funkce setrvačné jízdy by se měla automaticky aktivovat v primárním jízdním režimu, tj. režimu, který se automaticky nastaví při zapnutí motoru. |
|
(5) |
Uplatnění se týká dvou rozdílných funkcí setrvačné jízdy: setrvačné jízdy při zapnutém motoru a setrvačné jízdy při vypnutém motoru. Při setrvačné jízdě při zapnutém motoru zůstává spalovací motor po dobu setrvačné jízdy zapnutý a na udržení volnoběžných otáček je nutná určitá spotřeba paliva. Při setrvačné jízdě při vypnutém motoru je spalovací motor po dobu setrvačné jízdy vypnutý. |
|
(6) |
K určení potenciálního snížení CO2 u těchto technologií je nutné zvážit vliv opakovaného nastartování motoru na spotřebu paliva po setrvačné jízdě v případě setrvačné jízdy při vypnutém motoru a vliv nutnosti zvýšit rychlost motoru na žádoucí synchronizační rychlost u obou technologií. |
|
(7) |
Během roku 2019, tj. až dlouho po předložení žádosti, dostala Komise nové informace týkající se potenciálu snížení emisí CO2 při využití funkce setrvačné jízdy při vypnutém motoru. Vyžádala si od žadatelů doplňující údaje, které byly předloženy v únoru 2020. |
|
(8) |
Pokud jde o funkci setrvačné jízdy při vypnutém motoru, nebylo možné na základě předložených podkladů přesvědčivě stanovit úroveň snížení CO2, které by bylo možno dosáhnout. |
|
(9) |
Zejména nebylo dostatečně prokázáno, že se snížení CO2, jehož lze dosáhnout vypnutím motoru, nekompenzuje emisemi CO2 z energie potřebné na opakované nastartování motoru a zvýšení jeho rychlosti na žádoucí synchronizační rychlost. |
|
(10) |
Funkce setrvačné jízdy při zapnutém motoru určená pro použití v osobních automobilech poháněných spalovacím motorem byla již schválena jako ekologická inovace v souvislosti se zkouškou emisí podle NEDC prováděcími rozhodnutími Komise (EU) 2015/1132 (5), (EU) 2017/1402 (6) a (EU) 2018/2079 (7). |
|
(11) |
Na základě zkušeností získaných z provádění těchto rozhodnutí společně s informacemi uvedenými ve stávající žádosti bylo uspokojivě a přesvědčivě prokázáno, že funkce setrvačné jízdy při zapnutém motoru pro použití v osobních automobilech poháněných spalovacím motorem splňuje kritéria uvedená v čl. 11 odst. 2 nařízení (EU) 2019/631 a kritéria způsobilosti uvedená v čl. 9 odst. 1 písm. a) prováděcího nařízení (EU) č. 725/2011. |
|
(12) |
Bylo prokázáno, že pro některá hybridní elektrická vozidla s jiným než externím nabíjením (NOVC-HEV), u nichž mohou být v souladu s přílohou 8 předpisu Evropské hospodářské komise OSN č. 101 (8) použity nekorigované hodnoty naměřené spotřeby paliva a emisí CO2, platí stejné podmínky jako pro osobní automobily poháněné spalovacím motorem. Pokud jde o jiná hybridní elektrická vozidla s jiným než externím nabíjením, tyto podmínky nelze považovat za použitelné, neboť v žádosti nebylo dostatečně doloženo, jak má být u těchto vozidel snížení emisí CO2 dosaženého použitím funkce setrvačné jízdy při zapnutém motoru stanoveno. |
|
(13) |
Zkušební metodika navržená žadateli pro stanovení snížení emisí CO2 dosaženého použitím funkce setrvačné jízdy při zapnutém motoru se liší od metodiky schválené prováděcím rozhodnutím (EU) 2018/2079 ve způsobu, jakým má být zkoušeno základní vozidlo. Vzhledem k tomu, že tato metodika zkušební proces zjednodušuje a zároveň zajišťuje konzervativnější výsledky, je vhodné ji pro účely stanovení snížení emisí CO2 u dané technologie schválit. |
|
(14) |
Výrobci by měli mít možnost požádat schvalovací orgán o certifikaci snížení emisí CO2 dosaženého použitím inovativní technologie, jsou-li splněny podmínky stanovené v tomto rozhodnutí. Výrobci by za tímto účelem měli zajistit, aby k žádosti o certifikaci byla přiložena zpráva o ověření provedeném nezávislým a autorizovaným subjektem, která potvrzuje, že daná inovativní technologie podmínky stanovené v tomto rozhodnutí splňuje a že snížení emisí bylo stanoveno v souladu se zkušební metodou uvedenou v tomto rozhodnutí. |
|
(15) |
Schvalovací orgán musí důkladně ověřit, zda jsou podmínky pro certifikaci snížení emisí CO2 dosaženého použitím inovativní technologie uvedené v tomto rozhodnutí splněny. Pokud je certifikace udělena, měl by příslušný schvalovací orgán zajistit, aby všechny prvky, které jsou v rámci certifikace posuzovány, byly zaznamenány ve zkušebním protokolu a uchovávány společně se zprávou o ověření a aby tyto informace byly na vyžádání zpřístupněny Komisi. |
|
(16) |
Za účelem stanovení obecného kódu ekologické inovace, který má být uveden v příslušných dokumentech ke schválení typu podle příloh I, III, VI a VIII prováděcího nařízení Komise (EU) 2020/683 (9), je nutno této inovativní technologii přidělit individuální kód. |
|
(17) |
Od roku 2021 se má soulad výrobců s jejich cíli pro specifické emise podle nařízení (EU) 2019/631 zjišťovat na základě emisí CO2 stanovených v souladu s celosvětově harmonizovaným zkušebním postupem pro lehká vozidla (WLTP) stanoveným v nařízení Komise (EU) 2017/1151 (10). Snížení emisí CO2 dosažené použitím inovativní technologie certifikované s odkazem na toto rozhodnutí se tedy může zohlednit při výpočtu průměrných specifických emisí CO2 výrobce pouze pro kalendářní rok 2020. |
|
(18) |
Vzhledem ke změně WLTP je vhodné zrušit s účinkem od 1. ledna 2021 toto rozhodnutí spolu s následujícími prováděcími rozhodnutími, která odkazují na podmínky platné podle NEDC, tj. prováděcí rozhodnutí Komise 2013/128/EU (11), 2013/341/EU (12), 2013/451/EU (13), 2013/529/EU (14), 2014/128/EU (15), 2014/465/EU (16), 2014/806/EU (17), (EU) 2015/158 (18), (EU) 2015/206 (19), (EU) 2015/279 (20), (EU) 2015/295 (21), (EU) 2015/1132, (EU) 2015/2280 (22), (EU) 2016/160 (23), (EU) 2016/265 (24), (EU) 2016/588 (25), (EU) 2016/362 (26), (EU) 2016/587 (27), (EU) 2016/1721 (28), (EU) 2016/1926 (29), (EU) 2017/785 (30), (EU) 2017/1402, (EU) 2018/1876 (31), (EU) 2018/2079, (EU) 2019/313 (32), (EU) 2019/314 (33), (EU) 2020/728 (34), (EU) 2020/1102 (35), (EU) 2020/1222 (36). |
|
(19) |
S ohledem na to, že doba použitelnosti tohoto rozhodnutí je omezená, je vhodné zajistit, aby vstoupilo v platnost co nejdříve, nejpozději však sedm dnů po vyhlášení v Úředním věstníku Evropské unie, |
PŘIJALA TOTO ROZHODNUTÍ:
Článek 1
Inovativní technologie
Funkce setrvačné jízdy při zapnutém motoru se schvaluje jako inovativní technologie ve smyslu článku 11 nařízení (EU) 2019/631, jsou-li splněny tyto podmínky:
|
a) |
funkcí setrvačné jízdy při zapnutém motoru jsou vybavena osobní vozidla kategorie M1 poháněná spalovacím motorem nebo hybridní elektrická vozidla s jiným než externím nabíjením kategorie M1, u nichž lze použít nekorigované hodnoty naměřené spotřeby paliva a emisí CO2 podle přílohy 8 předpisu Evropské hospodářské komise OSN č. 101, a je-li konfigurace hnacího ústrojí buď P0, nebo P1, kde P0 znamená, že elektrický stroj je připojen k hnacímu řemeni motoru, a P1 znamená, že elektrický stroj je připojen ke klikové hřídeli motoru; |
|
b) |
vozidla vybavená funkcí setrvačné jízdy při zapnutém motoru jsou vybavena automatickou převodovkou nebo manuální převodovkou s automatickou spojkou; |
|
c) |
funkce setrvačné jízdy při zapnutém motoru je automaticky aktivována v primárním jízdním režimu vozidla, tj. v režimu, který se nastaví vždy při zapnutí motoru bez ohledu na provozní režim nastavený při předchozím vypnutí motoru; |
|
d) |
funkci setrvačné jízdy při zapnutém motoru není možné deaktivovat ani řidičem, ani vnějším zásahem, když je motor ve standardním jízdním režimu vozidla; |
|
e) |
funkce setrvačné jízdy při zapnutém motoru není aktivní, když je rychlost vozidla nižší než 15 km/h. |
Článek 2
Žádost o certifikaci snížení emisí CO2
1. Výrobce může požádat schvalovací orgán o certifikaci snížení emisí CO2 dosaženého použitím technologie schválené v souladu s článkem 1 (dále jen „inovativní technologie“) s odkazem na toto rozhodnutí.
2. Výrobce zajistí, aby k žádosti o certifikaci byla přiložena zpráva o ověření provedeném nezávislým a autorizovaným subjektem, která potvrzuje, že tato technologie splňuje podmínky stanovené v článku 1.
3. Pokud bylo snížení emisí CO2 certifikováno v souladu s článkem 3, výrobce zajistí, aby certifikované snížení emisí CO2 bylo spolu s kódem ekologické inovace uvedeným v čl. 4 odst. 1 zaznamenáno v prohlášení o shodě dotčených vozidel.
Článek 3
Certifikace snížení emisí CO2
1. Schvalovací orgán zajistí, aby snížení emisí CO2 dosažené použitím inovativní technologie bylo stanoveno pomocí metodiky popsané v příloze.
2. Schvalovací orgán zaznamená v příslušné dokumentaci ke schválení typu certifikované snížení emisí CO2 stanovené v souladu s odstavcem 1 a kód ekologické inovace uvedený v čl. 4 odst. 1.
3. Schvalovací orgán zaznamená všechny prvky, které byly v rámci certifikace posuzovány, ve zkušebním protokolu, který uchovává společně se zprávou o ověření uvedenou v čl. 2 odst. 2, a zajistí, aby tyto informace byly na vyžádání zpřístupněny Komisi.
4. Schvalovací orgán certifikuje snížení emisí CO2 dosažné použitím inovativní technologie, pouze pokud dospěje k závěru, že tato technologie splňuje podmínky stanovené v článku 1, a pokud snížení emisí CO2 dosáhne hodnoty 1 g CO2/km nebo vyšší, jak je uvedeno v čl. 9 odst. 1 písm. a) prováděcího nařízení (EU) č. 725/2011.
Článek 4
Kód ekologické inovace
1. Inovativní technologii schválené tímto rozhodnutím se přiděluje kód ekologické inovace č. 36.
2. Certifikované snížení emisí CO2 zaznamenané s odkazem na uvedený kód ekologické inovace lze zohlednit pouze při výpočtu průměrných specifických emisí CO2 výrobců za kalendářní rok 2020.
Článek 5
Zrušení
Toto prováděcí rozhodnutí a následující prováděcí rozhodnutí se zrušují s účinkem od 1. ledna 2021: prováděcí rozhodnutí 2013/128/EU, 2013/341/EU, 2013/451/EU, 2013/529/EU, 2014/128/EU, 2014/465/EU, 2014/806/EU, (EU) 2015/158, (EU) 2015/206, (EU) 2015/279, (EU) 2015/295, (EU) 2015/1132, (EU) 2015/2280, (EU) 2016/160, (EU) 2016/265, (EU) 2016/588, (EU) 2016/362, (EU) 2016/587, (EU) 2016/1721, (EU) 2016/1926, (EU) 2017/785, (EU) 2017/1402, (EU) 2018/1876, (EU) 2018/2079, (EU) 2019/313, (EU) 2019/314, (EU) 2020/728, (EU) 2020/1102, (EU) 2020/1222.
Od uvedeného data se snížení emisí CO2 certifikované s odkazem na tato rozhodnutí nezohlední při výpočtu průměrných specifických emisí výrobců.
Článek 6
Vstup v platnost
Toto rozhodnutí vstupuje v platnost sedmým dnem po vyhlášení v Úředním věstníku Evropské unie.
V Bruselu dne 25. listopadu 2020.
Za Komisi
Ursula VON DER LEYEN
předsedkyně
(1) Úř. věst. L 111, 25.4.2019, s. 13.
(2) Prováděcí nařízení Komise (EU) č. 725/2011 ze dne 25. července 2011, kterým se stanoví postup schvalování a certifikace inovativních technologií ke snižování emisí CO2 z osobních automobilů podle nařízení Evropského parlamentu a Rady (ES) č. 443/2009 (Úř. věst. L 194, 26.7.2011, s. 19).
(3) https://circabc.europa.eu/sd/a/a19b42c8-8e87-4b24-a78b-9b70760f82a9/July%202018%20Technical%20Guidelines.pdf.
(4) Nařízení Komise (ES) č. 692/2008 ze dne 18. července 2008, kterým se provádí a mění nařízení Evropského parlamentu a Rady (ES) č. 715/2007 o schvalování typu motorových vozidel z hlediska emisí z lehkých osobních vozidel a z užitkových vozidel (Euro 5 a Euro 6) a z hlediska přístupu k informacím o opravách a údržbě vozidla (Úř. věst. L 199, 28.7.2008, s. 1).
(5) Prováděcí rozhodnutí Komise (EU) 2015/1132 ze dne 10. července 2015 o schválení funkce setrvačné jízdy vyvinuté společností Porsche AG jako inovativní technologie ke snižování emisí CO2 z osobních automobilů podle nařízení Evropského parlamentu a Rady (ES) č. 443/2009 (Úř. věst. L 184, 11.7.2015, s. 22).
(6) Prováděcí rozhodnutí Komise (EU) 2017/1402 ze dne 28. července 2017 o schválení funkce setrvačné jízdy s motorem běžícím na volnoběh vyvinuté společností BMW AG jako inovativní technologie ke snižování emisí CO2 z osobních automobilů podle nařízení Evropského parlamentu a Rady (ES) č. 443/2009 (Úř. věst. L 199, 29.7.2017, s. 14).
(7) Prováděcí rozhodnutí Komise (EU) 2018/2079 ze dne 19. prosince 2018 o schválení funkce setrvačné jízdy s motorem běžícím na volnoběh jako inovativní technologie ke snižování emisí CO2 z osobních automobilů podle nařízení Evropského parlamentu a Rady (ES) č. 443/2009 (Úř. věst. L 331, 28.12.2018, s. 225).
(8) Předpis Evropské hospodářské komise OSN (EHK OSN) č. 101 – Jednotná ustanovení pro schvalování typu osobních automobilů poháněných výhradně spalovacím motorem nebo poháněných hybridním elektrickým hnacím ústrojím z hlediska měření emisí oxidu uhličitého a spotřeby paliva a/nebo měření spotřeby elektrické energie a akčního dosahu na elektřinu a dále vozidel kategorií M1 a N1 poháněných výhradně elektrickým hnacím ústrojím z hlediska měření spotřeby elektrické energie a akčního dosahu na elektřinu (Úř. věst. L 138, 26.5.2012, s. 1).
(9) Prováděcí nařízení Komise (EU) 2020/683 ze dne 15. dubna 2020, kterým se provádí nařízení Evropského parlamentu a Rady (EU) 2018/858, pokud jde o správní požadavky na schvalování motorových vozidel a jejich přípojných vozidel, jakož i systémů, konstrukčních částí a samostatných technických celků určených pro tato vozidla, a na dozor nad trhem s nimi (Úř. věst. L 163, 26.5.2020, s. 1).
(10) Nařízení Komise (EU) 2017/1151 ze dne 1. června 2017, kterým se doplňuje nařízení Evropského parlamentu a Rady (ES) č. 715/2007 o schvalování typu motorových vozidel z hlediska emisí z lehkých osobních vozidel a z užitkových vozidel (Euro 5 a Euro 6) a z hlediska přístupu k informacím o opravách a údržbě vozidla, mění směrnice Evropského parlamentu a Rady 2007/46/ES, nařízení Komise (ES) č. 692/2008 a nařízení Komise (EU) č. 1230/2012 a zrušuje nařízení Komise (ES) č. 692/2008 (Úř. věst. L 175, 7.7.2017, s. 1).
(11) Prováděcí rozhodnutí Komise 2013/128/EU ze dne 13. března 2013 o schválení používání diod vyzařujících světlo v některých funkcích osvětlení vozidla M1 jako inovativní technologie pro snižování emisí CO2 z osobních automobilů podle nařízení Evropského parlamentu a Rady (ES) č. 443/2009 (Úř. věst. L 70, 14.3.2013, s. 7).
(12) Prováděcí rozhodnutí Komise 2013/341/EU ze dne 27. června 2013 o schválení alternátoru Valeo Efficient Generation jako inovativní technologie ke snižování emisí CO2 z osobních automobilů podle nařízení Evropského parlamentu a Rady (ES) č. 443/2009 (Úř. věst. L 179, 29.6.2013, s. 98).
(13) Prováděcí rozhodnutí Komise 2013/451/EU ze dne 10. září 2013 o schválení systému společnosti Daimler se zapouzdřením motorového prostoru jako inovativní technologie ke snižování emisí CO2 z nových osobních automobilů podle nařízení Evropského parlamentu a Rady (ES) č. 443/2009 (Úř. věst. L 242, 11.9.2013, s. 12).
(14) Prováděcí rozhodnutí Komise 2013/529/EU ze dne 25. října 2013 o schválení systému společnosti Bosch k řízení stavu nabití baterie u hybridních vozidel s využitím navigačních služeb jako inovativní technologie ke snižování emisí CO2 z osobních automobilů podle nařízení Evropského parlamentu a Rady (ES) č. 443/2009 (Úř. věst. L 284, 26.10.2013, s. 36).
(15) Prováděcí rozhodnutí Komise 2014/128/EU ze dne 10. března 2014 o schválení modulu tlumeného světla s diodami LED – „E-Light“ jako inovativní technologie ke snižování emisí CO2 z osobních automobilů podle nařízení Evropského parlamentu a Rady (ES) č. 443/2009 (Úř. věst. L 70, 11.3.2014, s. 30).
(16) Prováděcí rozhodnutí Komise 2014/465/EU ze dne 16. července 2014 o schválení účinného alternátoru DENSO jako inovativní technologie ke snižování emisí CO2 z osobních automobilů podle nařízení Evropského parlamentu a Rady (ES) č. 443/2009 a o změně prováděcího rozhodnutí Komise 2013/341/EU (Úř. věst. L 210, 17.7.2014, s. 17).
(17) Prováděcí rozhodnutí Komise 2014/806/EU ze dne 18. listopadu 2014 o schválení solární střechy Webasto nabíjející akumulátor jako inovativní technologie ke snižování emisí CO2 z osobních automobilů podle nařízení Evropského parlamentu a Rady (ES) č. 443/2009 (Úř. věst. L 332, 19.11.2014, s. 34).
(18) Prováděcí rozhodnutí Komise (EU) 2015/158 ze dne 30. ledna 2015 o schválení dvou vysoce účinných alternátorů Robert Bosch GmbH jako inovativních technologií ke snižování emisí CO2 z osobních automobilů podle nařízení Evropského parlamentu a Rady (ES) č. 443/2009 (Úř. věst. L 26, 31.1.2015, s. 31).
(19) Prováděcí rozhodnutí Komise (EU) 2015/206 ze dne 9. února 2015 o schválení účinného vnějšího osvětlení společnosti Daimler AG využívajícího diod vyzařujících světlo jako inovativní technologie pro snižování emisí CO2 z osobních automobilů podle nařízení Evropského parlamentu a Rady (ES) č. 443/2009 (Úř. věst. L 33, 10.2.2015, s. 52).
(20) Prováděcí rozhodnutí Komise (EU) 2015/279 ze dne 19. února 2015 o schválení solární střechy Asola nabíjející akumulátor jako inovativní technologie ke snižování emisí CO2 z osobních automobilů podle nařízení Evropského parlamentu a Rady (ES) č. 443/2009 (Úř. věst. L 47, 20.2.2015, s. 26).
(21) Prováděcí rozhodnutí Komise (EU) 2015/295 ze dne 24. února 2015 o schválení účinného alternátoru MELCO GXi jako inovativní technologie ke snižování emisí CO2 z osobních automobilů podle nařízení Evropského parlamentu a Rady (ES) č. 443/2009 (Úř. věst. L 53, 25.2.2015, s. 11).
(22) Prováděcí rozhodnutí Komise (EU) 2015/2280 ze dne 7. prosince 2015 o schválení účinného alternátoru DENSO jako inovativní technologie ke snižování emisí CO2 z osobních automobilů podle nařízení Evropského parlamentu a Rady (ES) č. 443/2009 (Úř. věst. L 322, 8.12.2015, s. 64).
(23) Prováděcí rozhodnutí Komise (EU) 2016/160 ze dne 5. února 2016 o schválení účinného vnějšího osvětlení společnosti Toyota Motor Europe využívajícího diod vyzařujících světlo jako inovativní technologie pro snižování emisí CO2 z osobních automobilů podle nařízení Evropského parlamentu a Rady (ES) č. 443/2009 (Úř. věst. L 31, 6.2.2016, s. 70).
(24) Prováděcí rozhodnutí Komise (EU) 2016/265 ze dne 25. února 2016 o schválení motorgenerátoru MELCO jako inovativní technologie ke snižování emisí CO2 z osobních automobilů podle nařízení Evropského parlamentu a Rady (ES) č. 443/2009 (Úř. věst. L 50, 26.2.2016, s. 30).
(25) Prováděcí rozhodnutí Komise (EU) 2016/588 ze dne 14. dubna 2016 o schválení technologie používané ve 12voltových účinných alternátorech jako inovativní technologie ke snižování emisí CO2 z osobních automobilů podle nařízení Evropského parlamentu a Rady (ES) č. 443/2009 (Úř. věst. L 101, 16.4.2016, s. 25).
(26) Prováděcí rozhodnutí Komise (EU) 2016/362 ze dne 11. března 2016 o schválení zásobníku tepelné energie vyvinutého společností MAHLE Behr GmbH & Co. KG jako inovativní technologie ke snižování emisí CO2 z osobních automobilů podle nařízení Evropského parlamentu a Rady (ES) č. 443/2009 (Úř. věst. L 67, 12.3.2016, s. 59).
(27) Prováděcí rozhodnutí Komise (EU) 2016/587 ze dne 14. dubna 2016 o schválení technologie použité v účinném vnějším osvětlení vozidla využívajícím diod vyzařujících světlo jako inovativní technologie pro snižování emisí CO2 z osobních automobilů podle nařízení Evropského parlamentu a Rady (ES) č. 443/2009 (Úř. věst. L 101, 16.4.2016, s. 17).
(28) Prováděcí rozhodnutí Komise (EU) 2016/1721 ze dne 26. září 2016 o schválení účinného vnějšího osvětlení společnosti Toyota využívajícího diod vyzařujících světlo pro využití u hybridních elektromobilů bez externího nabíjení jako inovativní technologie pro snižování emisí CO2 z osobních automobilů podle nařízení Evropského parlamentu a Rady (ES) č. 443/2009 (Úř. věst. L 259, 27.9.2016, s. 71).
(29) Prováděcí rozhodnutí Komise (EU) 2016/1926 ze dne 3. listopadu 2016 o schválení fotovoltaické střechy nabíjející akumulátor jako inovativní technologie ke snižování emisí CO2 z osobních automobilů podle nařízení Evropského parlamentu a Rady (ES) č. 443/2009 (Úř. věst. L 297, 4.11.2016, s. 18).
(30) Prováděcí rozhodnutí Komise (EU) 2017/785 ze dne 5. května 2017 o schválení dvanáctivoltových účinných motorgenerátorů používaných v osobních automobilech poháněných konvenčními spalovacími motory jako inovativní technologie ke snižování emisí CO2 z osobních automobilů podle nařízení Evropského parlamentu a Rady (ES) č. 443/2009 (Úř. věst. L 118, 6.5.2017, s. 20).
(31) Prováděcí rozhodnutí Komise (EU) 2018/1876 ze dne 29. listopadu 2018 o schválení technologie používané ve 12voltových účinných alternátorech používaných v lehkých užitkových vozidlech poháněných konvenčními spalovacími motory jako inovativní technologie ke snižování emisí CO2 z lehkých užitkových vozidel podle nařízení Evropského parlamentu a Rady (EU) č. 510/2011 (Úř. věst. L 306, 30.11.2018, s. 53).
(32) Prováděcí rozhodnutí Komise (EU) 2019/313 ze dne 21. února 2019 o schválení technologie použité ve vysoce účinném 48-voltovém motorgenerátoru (BRM) společnosti SEG Automotive Germany GmbH ve spojení s 48 V/12 V DC/DC měničem pro použití v konvenčních spalovacích motorech a některých hybridních lehkých užitkových vozidlech jako inovativní technologie pro snižování emisí CO2 z lehkých užitkových vozidel podle nařízení Evropského parlamentu a Rady (EU) č. 510/2011 (Úř. věst. L 51, 22.2.2019, s. 31).
(33) Prováděcí rozhodnutí Komise (EU) 2019/314 ze dne 21. února 2019 o schválení technologie použité ve vysoce účinném 48-voltovém motorgenerátoru (BRM) společnosti SEG Automotive Germany GmbH ve spojení se 48 V/12 V DC/DC měničem pro použití v konvenčních spalovacích motorech a některých hybridních osobních automobilech jako inovativní technologie pro snižování emisí CO2 z osobních automobilů podle nařízení Evropského parlamentu a Rady (ES) č. 443/2009 (Úř. věst. L 51, 22.2.2019, s. 42).
(34) Prováděcí rozhodnutí Komise (EU) 2020/728 ze dne 29. května 2020 o schválení funkce účinného generátoru použité ve 12voltových motorgenerátorech pro použití v některých osobních automobilech a lehkých užitkových vozidlech jako inovativní technologie podle nařízení Evropského parlamentu a Rady (EU) 2019/631 (Úř. věst. L 170, 2.6.2020, s. 21).
(35) Prováděcí rozhodnutí Komise (EU) 2020/1102 ze dne 24. července 2020 o schválení technologie používané v účinném 48voltovém motorgenerátoru ve spojení s 48 V/12 V DC/DC měničem pro použití v konvenčních spalovacích motorech a některých hybridních elektrických osobních automobilech a lehkých užitkových vozidlech jako inovativní technologie podle nařízení Evropského parlamentu a Rady (EU) 2019/631 a s odkazem na nový evropský jízdní cyklus (NEDC) (Úř. věst. L 241, 27.7.2020, s. 38).
(36) Prováděcí rozhodnutí Komise (EU) 2020/1222 ze dne 24. srpna 2020 o schválení účinného vnějšího osvětlení vozidel využívajícího diod vyzařujících světlo jako inovativní technologie pro snižování emisí CO2 z lehkých užitkových vozidel s motory s vnitřním spalováním s ohledem na podmínky NEDC podle nařízení Evropského parlamentu a Rady (EU) 2019/631 (Úř. věst. L 279, 27.8.2020, s. 5).
PŘÍLOHA
METODIKA PRO STANOVENÍ SNÍŽENÍ EMISÍ CO2 U FUNKCE SETRVAČNÉ JÍZDY PŘI ZAPNUTÉM MOTORU PRO AUTOMOBILY SE SPALOVACÍM MOTOREM A NĚKTERÁ HYBRIDNÍ ELEKTRICKÁ VOZIDLA S JINÝM NEŽ EXTERNÍM NABÍJENÍM
1. SYMBOLY, JEDNOTKY A PARAMETRY
Latinské symboly
|
CO2 |
— oxid uhličitý |
|
|
— snížení emisí CO2 [g CO2/km] |
|
idle_corr |
— korekční faktor pro spotřebu paliva při volnoběhu |
|
BMC |
— emise CO2 ze základního vozidla v průběhu jízdních manévrů odpovídajících setrvačné jízdě za upravených zkušebních podmínek [g CO2/km] |
|
|
— emise CO2 ze základního vozidla v průběhu i-tých jízdních manévrů odpovídajících setrvačné jízdě za upravených zkušebních podmínek [g CO2/km] |
|
|
— emise CO2 ze základního vozidla při konstantní rychlosti k (tj. 32, 35, 50, 70, 120 km/h) v průběhu i-té jízdy konstantní rychlostí [g CO2/km] |
|
|
— emise CO2 ze základního vozidla v průběhu i-té rychloběžné fáze za upravených zkušebních podmínek [g CO2/km] |
|
|
— emise CO2 ze základního vozidla v průběhu i-té rychloběžné fáze za upravených zkušebních podmínek v důsledku bilance baterie [g CO2/km] |
|
|
— vzdálenost ujetá v průběhu i-té rychloběžné jízdy [km] |
|
|
— vzdálenost ujetá v průběhu i-té setrvačné jízdy [km] |
|
ECE |
— základní městský jízdní cyklus (součást NEDC) |
|
EMC |
— emise CO2 z vozidla s ekologickou inovací za upravených zkušebních podmínek [g CO2/km] |
|
|
— emise CO2 v průběhu i-té volnoběžné fáze [g CO2/km] |
|
|
— emise CO2 při synchronizaci motoru v průběhu i-té setrvačné jízdy [g CO2/km] |
|
|
— naměřená hodnota spotřeby paliva ve fázi konstantní rychlosti k (tj. 32, 35, 50, 70, 120 km/h) [g/s] |
|
EUDC |
— mimoměstský jízdní cyklus (součást NEDC) |
|
fstandstill |
— spotřeba paliva při volnoběhu naměřená při zastavení vozidla [g/s] |
|
fuel_dens |
— hustota paliva [kg/m3] |
|
facc |
— spotřeba paliva na zrychlení motoru z volnoběžných otáček na přenosovou rychlost [l] |
|
|
— jízdní odpor při „neutrálu“ naměřený za podmínek WLTP u automatického a manuálního převodu [N] (oddíl 3.2) |
|
|
— jízdní odpor při „rychloběhu“ naměřený za podmínek WLTP u automatického převodu [N] (oddíl 4.1) |
|
|
— jízdní odpor při „rychloběhu“ hodnocený za podmínek NEDC [N] (oddíl 4.1) |
|
|
— jízdní odpor podle NEDC přepočtený z podmínek WLTP u neutrálu [N] |
|
|
— jízdní odpor za podmínek WLTP se zařazeným x-tým stupněm u manuálního převodu [N] |
|
Ieng |
— moment setrvačnosti motoru (podle konkrétního motoru) [kgm2] |
|
|
— naměřený výkon primární baterie v průběhu i-té rychloběžné jízdy [W] |
|
|
— naměřený výkon sekundární baterie v průběhu i-té rychloběžné jízdy [W] |
|
RDCRW |
— relativní vzdálenost v režimu setrvačné jízdy za podmínek reálného provozu, definovaná jako vzdálenost ujetá s aktivovaným režimem setrvačné jízdy vydělená celkovou ujetou vzdáleností na jízdu [%] |
|
RCDmNEDC |
— relativní vzdálenost v režimu setrvačné jízdy za upravených zkušebních podmínek, definovaná jako vzdálenost ujetá s aktivovaným režimem setrvačné jízdy vydělená celkovou ujetou vzdáleností mNEDC [%] |
|
UF |
— faktor použití technologie setrvačné jízdy, definovaný jako
|
|
|
— nejistota snížení emisí CO2 [g CO2/km] |
|
|
— směrodatná odchylka aritmetického průměru emisí CO2 z vozidla s ekologickou inovací za upravených zkušebních podmínek [g CO2/km] |
|
SUF |
— směrodatná odchylka aritmetického průměru faktoru použití |
|
|
— doba tahu motoru u i-té rychloběžné jízdy [h] |
|
|
— doba trvání i-té setrvačné jízdy [s] |
|
|
— minimální doba trvání fází konstantní rychlosti po zrychlení nebo zpomalení setrvačné jízdy [s] |
|
|
— minimální doba po každém zpomalení setrvačné jízdy až do zastavení nebo do fáze konstantní rychlosti [s] |
|
|
— třecí točivý moment motoru (podle konkrétního motoru) [Nm] |
|
vmin |
— minimální rychlost pro setrvačnou jízdu [km/h] |
|
vmax |
— maximální rychlost pro setrvačnou jízdu [km/h] |
|
|
— konstantní rychlost jízdy (tj. 32, 35, 50, 70, 120 km/h) v průběhu i-té jízdy konstantní rychlostí [km/h] |
Řecké symboly
|
ηDCDC |
— účinnost DC/DC měniče, která je nastavena na 0,92 |
|
ηbat_discharge |
— účinnost vybíjení baterie, která je nastavena na 0,94 |
|
ηalternator |
— účinnost alternátoru, která je nastavena na 0,67 |
|
ΔRESdrag |
— rozdíl mezi jízdním odporem se zařazeným „neutrálním“ převodovým stupněm v průběhu „rychloběhu“ a měřený za podmínek WLTP [N] |
|
|
— změna výkonu v důsledku nastavení jízdního odporu podle WLTP na dynamometru, k níž dojde při i-té jízdě konstantní rychlostí [km/h] |
|
|
— rozdíl jízdního odporu vozidla mezi WLTP a NEDC, k němuž dojde při i-té jízdě konstantní rychlostí [N] |
|
Δtacc |
— doba potřebná ke zrychlení motoru z volnoběžných otáček na synchronizační rychlost [s] |
|
Δγacc |
— změna úhlu otáčení [rad] |
|
Δωacc |
— změna rychlosti motoru (z volnoběžných otáček ωidle na synchronizační rychlost (ωsync) [rad/s] |
2. ZKUŠEBNÍ VOZIDLA
Zkušební vozidla splňují tyto požadavky:
|
a) |
vozidlo s ekologickou inovací: vozidlo s nainstalovanou inovativní technologií, která je aktivována ve standardním nebo primárním jízdním režimu. Primární jízdní režim je jízdní režim, který se nastaví vždy při nastartování vozidla bez ohledu na provozní režim aktivovaný před vypnutím motoru. Funkci setrvačné jízdy při zapnutém motoru nemůže řidič v primárním jízdním režimu deaktivovat; |
|
b) |
základní vozidlo: vozidlo, které je ve všech ohledech shodné s vozidlem s ekologickou inovací s výjimkou inovativní technologie, která buď není instalována, nebo je ve standardním nebo primárním jízdním režimu deaktivována; zkoušeným základním vozidlem může být vozidlo s ekologickou inovací pod podmínkou, že před zpomalením je krátce aplikován brzdný účinek, aby nedošlo k setrvačné jízdě, která by za normálních okolností nastala v důsledku funkce setrvačné jízdy instalované ve vozidle s ekologickou inovací, neboť funkci setrvačné jízdy lze před zpomalením v zásadě potlačit sešlápnutím brzdového pedálu. Brzdný účinek dočasně potlačí funkci setrvačné jízdy až do další jízdy. |
3. DEFINICE UPRAVENÝCH ZKUŠEBNÍCH PODMÍNEK
Kroky definující upravené zkušební podmínky jsou:
|
1. |
stanovení jízdního zatížení; |
|
2. |
stanovení křivky dojezdu vozidla v režimu setrvačné jízdy při zapnutém motoru; |
|
3. |
vytvoření upraveného rychlostního profilu NEDC (mNEDC); |
|
4. |
jízdní manévry odpovídající setrvačné jízdě u základního vozidla. |
3.1. Stanovení jízdního zatížení
Jízdní zatížení základního vozidla a vozidla s ekologickou inovací se stanoví v souladu s postupem uvedeným v dílčí příloze 4 přílohy XXI nařízení (EU) 2017/1151 a přepočítá na jízdní zatížení podle NEDC pro vozidlo Ha L v souladu s bodem 2.3.8 přílohy I prováděcího nařízení Komise (EU) 2017/1153 (1).
3.2. Stanovení křivky dojezdu vozidla v režimu setrvačné jízdy při zapnutém motoru
Křivka dojezdu vozidla v režimu setrvačné jízdy při zapnutém motoru je definována jako křivka dojezdu se zařazeným „neutrálním“ převodovým stupněm, která je stanovena v průběhu schvalování typu v souladu s postupem uvedeným v dílčí příloze 4 přílohy XXI nařízení (EU) 2017/1151 a upravena na odpovídající křivku dojezdu vozidla podle NEDC v souladu s bodem 2.3.8 přílohy I prováděcího nařízení (EU) 2017/1153.
3.3. Vytvoření upraveného rychlostního profilu NEDC (mNEDC)
Rychlostní profil mNEDC se vytvoří v souladu s těmito pravidly:
|
a) |
zkušební posloupnost se skládá z městského cyklu složeného ze čtyř základních městských cyklů a jednoho mimoměstského cyklu; |
|
b) |
všechny úseky zrychlení jsou totožné s rychlostním profilem NEDC; |
|
c) |
všechny úrovně konstantní rychlosti jsou totožné s rychlostním profilem NEDC; |
|
d) |
přípustné odchylky rychlosti a času jsou v souladu s bodem 1.4 přílohy 7 předpisu (EHK OSN) č. 101; |
|
e) |
odchylka od profilu NEDC je minimalizována a celková vzdálenost musí odpovídat stanoveným přípustným odchylkám podle NEDC; |
|
f) |
vzdálenost na konci každé fáze zpomalení profilu mNEDC se rovná vzdálenosti na konci každé fáze zpomalení profilu NEDC; |
|
g) |
během fází setrvačné jízdy je odpojen spalovací motor a není povoleno aktivně upravovat křivku rychlosti vozidla; |
|
h) |
nižší rychlostní limit pro setrvačnou jízdu vmin: režim setrvačné jízdy musí být deaktivován při nižším rychlostním limitu (15 km/h) pro setrvačnou jízdu sešlápnutím brzdy; |
|
i) |
v technicky odůvodněných případech a po dohodě se schvalovacím orgánem může výrobce pro rychlost vmin zvolit rychlost vyšší než 15 km/h; |
|
j) |
minimální doba zastavení: minimální doba po každém zpomalení setrvačné jízdy až do zastavení nebo dosažení fáze konstantní rychlosti činí 2 sekundy; |
|
k) |
minimální doba trvání fází konstantní rychlosti: minimální doba trvání fází konstantní rychlosti po zrychlení nebo zpomalení setrvačné jízdy činí 2 sekundy; z technických důvodů může být tato hodnota zvýšena a zaznamenána do zkušebního protokolu; |
|
l) |
režim setrvačné jízdy může být aktivován, pokud je rychlost nižší než maximální rychlost zkušebního cyklu, tj. 120 km/h. |
3.3.1. Vytvoření profilu řazení rychlostních stupňů u vozidel s manuální převodovkou
U vozidel s manuální převodovkou se tabulky řazení rychlostních stupňů 1 a 2 v příloze 4a předpisu (EHK OSN) č. 83 upraví podle těchto pravidel:
|
1. |
výběr rychlostního stupně při zrychlení vozidla je takový, jaký je definován pro NEDC; |
|
2. |
načasování podřazování na nižší rychlostní stupně se v upraveném NEDC liší od standardního NEDC, aby se zabránilo podřazování na nižší rychlostní stupně během fází setrvačné jízdy (které lze předpokládat např. před fázemi zpomalení). |
Předem stanovené převodové stupně pro část EHK a EUDC v rámci NEDC popsané v tabulkách 1 a 2 přílohy 4a předpisu (EHK OSN) č. 83 se mění podle níže uvedených tabulek 1 a 2.
Tabulka 1
|
Činnost |
Fáze |
Zrychlení (m/s2) |
Rychlost (km/h) |
Doba trvání každé |
Kumulativní čas (s) |
Rychlostní stupeň, který se má použít |
|
|
činnosti (s) |
fáze (s) |
||||||
|
Volnoběh |
1 |
0 |
0 |
11 |
11 |
11 |
6s PM+5sK1 (1) |
|
Zrychlení |
2 |
1,04 |
0-15 |
4 |
4 |
15 |
1 |
|
Stálá rychlost |
3 |
0 |
15 |
9 |
8 |
23 |
1 |
|
Zpomalení |
4 |
– 0,69 |
15-10 |
2 |
5 |
25 |
1 |
|
Zpomalení, spojka vypnuta |
|
– 0,92 |
10-0 |
3 |
|
28 |
K1 (1) |
|
Volnoběh |
5 |
0 |
0 |
21 |
21 |
49 |
16s PM+5sK (1) |
|
Zrychlení |
6 |
0,83 |
0-15 |
5 |
12 |
54 |
1 |
|
Změna rychlostního stupně |
|
|
15 |
2 |
|
56 |
|
|
Zrychlení |
0,94 |
15-32 |
5 |
61 |
2 |
||
|
Stálá rychlost |
7 |
0 |
32 |
tconst1 |
tconst1 |
61+tconst1 |
2 |
|
Zpomalení |
8 |
dojezdem |
[32-dv1] |
Δtcd1 |
Δtcd1+8-Δt1+3 |
61+tconst1+Δtcd1 |
2 |
|
Zpomalení |
|
– 0,75 |
[32-dv1]-10 |
8-Δt1 |
|
69+tconst1+Δtcd1-Δt1 |
2 |
|
Zpomalení, spojka vypnuta |
|
– 0,92 |
10-0 |
3 |
72+tconst1+Δtcd1-Δt1 |
K 2 (1) |
|
|
Volnoběh |
9 |
0 |
0 |
21-Δt1 |
|
117 |
16s–Δt1PM+5sK1 (1) |
|
Zrychlení |
10 |
0,83 |
0-15 |
5 |
26 |
122 |
1 |
|
Změna rychlostního stupně |
|
|
15 |
2 |
|
124 |
|
|
Zrychlení |
0,62 |
15-35 |
9 |
133 |
2 |
||
|
Změna rychlostního stupně |
|
35 |
2 |
135 |
|
||
|
Zrychlení |
0,52 |
35-50 |
8 |
143 |
3 |
||
|
Stálá rychlost |
11 |
0 |
50 |
tconst2 |
tconst2 |
tconst2 |
3 |
|
Zpomalení |
|
dojezdem |
[50-dv2] |
Δtcd2 |
Δtcd2 |
tconst2+Δtcd2 |
3 |
|
Zpomalení |
12 |
– 0,52 |
[50-dv2]-35 |
8-Δt2 |
8-Δt2 |
tconst2+Δtcd2+8-Δt2 |
3 |
|
Stálá rychlost |
13 |
0 |
35 |
tconst3 |
tconst3 |
tconst2+Δtcd2+8-Δt2+tconst3 |
3 |
|
Změna rychlostního stupně |
14 |
|
35 |
2 |
12+Δtcd3-Δt3 |
tconst2+Δtcd2+10-Δt2+tconst3 |
|
|
Zpomalení |
|
dojezdem |
[35-dv3] |
Δtcd3 |
|
tconst2+Δtcd2+10-Δt2+tconst3+Δtcd3 |
2 |
|
Zpomalení |
– 0,99 |
[35-dv3]-10 |
7-Δt3 |
tconst2+Δtcd2+17-Δt2+tconst3+Δtcd3-Δt3 |
2 |
||
|
Zpomalení, spojka vypnuta |
– 0,92 |
10-0 |
3 |
tconst2+Δtcd2+20-Δt2+tconst3+Δtcd3-Δt3 |
K2 (1) |
||
|
Volnoběh |
15 |
0 |
0 |
7-Δt3 |
7-Δt3 |
tconst2+Δtcd2+27-Δt2+tconst3+Δtcd3-2*Δt3 |
7s-Δt3PM (1) |
Tabulka 2
|
Číslo činnosti |
Činnost |
Fáze |
Zrychlení (m/s2) |
Rychlost (km/h) |
Doba trvání každé |
Kumulativní čas (s) |
Rychlostní stupeň, který se má použít |
|
|
činnosti (s) |
fáze (s) |
|||||||
|
1 |
Volnoběh |
1 |
0 |
0 |
20 |
20 |
|
K1 (2) |
|
2 |
Zrychlení |
2 |
0,83 |
0-15 |
5 |
41 |
|
1 |
|
3 |
Změna rychlostního stupně |
|
15 |
2 |
|
— |
||
|
4 |
Zrychlení |
0,62 |
15-35 |
9 |
|
2 |
||
|
5 |
Změna rychlostního stupně |
|
35 |
2 |
|
— |
||
|
6 |
Zrychlení |
0,52 |
35-50 |
8 |
|
3 |
||
|
7 |
Změna rychlostního stupně |
|
50 |
2 |
|
— |
||
|
8 |
Zrychlení |
0,43 |
50-70 |
13 |
|
4 |
||
|
9 |
Stálá rychlost |
3 |
0 |
70 |
tconst4 |
tconst4 |
|
5 |
|
9‘ |
Zpomalení |
3‘ |
doběh |
70- dv4 (*2) |
Δtcd4 |
Δtcd4 |
|
5 |
|
10 |
Zpomalení |
4 |
doběh, (*1)-0,69 |
dv4 (*2)-50 |
8-Δtcd4 |
8-Δtcd4 |
|
4 |
|
11 |
Stálá rychlost |
5 |
0 |
50 |
69 |
69 |
|
4 |
|
12 |
Zrychlení |
6 |
0,43 |
50-70 |
13 |
13 |
|
4 |
|
13 |
Stálá rychlost |
7 |
0 |
70 |
50 |
50 |
|
5 |
|
14 |
Zrychlení |
8 |
0,24 |
70-100 |
35 |
35 |
|
5 |
|
15 |
Stálá rychlost (3) |
9 |
0 |
100 |
30 |
30 |
|
5 (3) |
|
16 |
Zrychlení (3) |
10 |
0,28 |
100-120 |
20 |
20 |
|
5 (3) |
|
17 |
Stálá rychlost (3) |
11 |
0 |
120 |
tconst5 |
tconst5 |
|
5 (3) |
|
17‘ |
Zpomalení (3) |
|
doběh |
[120-dv5] |
Δtcd5 |
Δtcd5 |
|
5 (3) |
|
18–konec |
Když dv5 ≥ 80 |
|
||||||
|
Zpomalení (3) |
12 |
– 0,69 |
[120-dv5]-80 |
16-Δt5 |
34-Δt5 |
|
5 (3) |
|
|
Zpomalení (3) |
|
– 1,04 |
80-50 |
8 |
|
|
5 (3) |
|
|
Zpomalení, spojka vypnuta |
1,39 |
50-0 |
10 |
|
K5 (2) |
|||
|
Volnoběh |
13 |
0 |
0 |
20-Δt5 |
20-Δt5 |
|
PM (2) |
|
|
Když 50 < dv5 < 80 |
|
|||||||
|
Zpomalení (3) |
|
– 1,04 |
[120-dv5]-50 |
8-Δt5 |
18-Δt5 |
|
5 (3) |
|
|
Zpomalení, spojka vypnuta |
1,39 |
50-0 |
10 |
|
|
K5 (2) |
||
|
Volnoběh |
13 |
0 |
0 |
20-Δt5 |
20-Δt5 |
|
PM (2) |
|
|
Když dv5 ≤ 50 |
|
|
|
|
|
|
|
|
|
Zpomalení, spojka vypnuta |
|
1,39 |
[120-dv5] |
10-Δt5 |
10-Δt5 |
|
K5 (2) |
|
|
Volnoběh |
13 |
0 |
0 |
20-Δt5 |
20-Δt5 |
|
PM (2) |
|
Definice termínů v tabulkách 1 a 2 jsou uvedeny v předpisu (EHK OSN) č. 83.
U vozidel s manuálním převodem se setrvačná jízda přeruší při zpomalení ze 70 km/h na 50 km/h po přeřazení z pátého na čtvrtý rychlostní stupeň. Přeřazením se setrvačná jízda přeruší a vozidlo provádí stejné, předem stanovené zpomalení jako podle NEDC, dokud nedosáhne rychlosti 50 km/h. V tomto případě se při výpočtu snížení emisí CO2 vyplývajícího z provedení funkce setrvačné jízdy uvažuje pouze fáze setrvačné jízdy před přerušením.
3.4. Jízdní manévry odpovídající setrvačné jízdě u základního vozidla
Pro každou setrvačnou jízdu zjištěnou v profilu mNEDC u vozidla s ekologickou inovací se stanoví odpovídající jízdní manévr pro základní vozidlo. Tyto jízdní manévry sestávají z fáze konstantní rychlosti, po níž následuje fáze zpomalování s motorem za rychloběžných podmínek (tj. otáčky motoru jsou způsobeny pohybem vozidla, plynový pedál je uvolněný a nedochází ke vstřikování paliva), bez brzdění, přičemž tyto podmínky splňují přípustné odchylky rychlosti a vzdálenosti manévrů setrvačné jízdy definované v předpisu (EHK OSN) č. 83. V průběhu těchto jízdních manévrů je u automatického převodu zařazen převodový stupeň nebo je u manuálního převodu zařazen konkrétní rychlostní stupeň, jak je stanoveno v oddíle 3.3.1.
Aby byly splněny podmínky oddílu 3.3 písm. a)–l), musí být ujeta stejná vzdálenost podle NEDC i mNEDC. Protože je vzdálenost ujetá základním vozidlem při rychloběhu kratší než vzdálenost ujetá při setrvačné jízdě vozidlem s ekologickou inovací, a to v důsledku rychlejšího zpomalování základního vozidla, rozdíl vzdálenosti, kterou musí základní vozidlo ujet, se doplní fázemi jízdy konstantní rychlostí, kde se konstantní rychlost jízdy rovná rychlosti základního vozidla na začátku setrvačné jízdy před rychloběžnými fázemi motoru. Pokud není koncová rychlost setrvačného jízdního manévru nulová, dosáhne se dodatečné vzdálenosti (Δs) na dvou úsecích při počáteční rychlosti, resp. koncové rychlosti.
Ke stanovení doby trvání jízdy konstantní rychlostí před začátkem setrvačné jízdy
a po skončení setrvačné jízdy
se použije tento systém lineárních rovnic (vzorec 1):
Vzorec 1
kde:
|
Δs |
je dodatečná vzdálenost ujetá konstantní rychlostí základním vozidlem v porovnání s vozidlem s ekologickou inovací [m], |
|
Δt |
je doba ujetí dodatečné vzdálenosti konstantní rychlostí základním vozidlem v porovnání s vozidlem s ekologickou inovací [s], |
|
scoast: |
je vzdálenost ujetá v průběhu setrvačné jízdy vozidlem s ekologickou inovací [m], |
|
sdrag: |
je vzdálenost ujetá v průběhu rychloběžné jízdy základním vozidlem [m], |
|
vstart: |
je rychlost na začátku jízdního manévru (setrvačná nebo rychloběžná jízda) [m/s], |
|
vend: |
je rychlost na konci jízdního manévru (setrvačná nebo rychloběžná jízda) [m/s], |
|
|
je okamžik zahájení rychloběžné jízdy [s], |
|
|
je okamžik ukončení rychloběžné jízdy [s], |
|
tcoast: |
je doba trvání setrvačné jízdy [s], |
|
tdrag: |
je doba trvání rychloběžné jízdy [s]. |
4. Stanovení dalších parametrů
Ihned po zkoušce podle WLTP typu I se provedou tyto zkoušky, aby mohly být stanoveny další parametry potřebné pro zkušební metodiku:
|
— |
dojezdová zkouška v rychloběžném režimu (platí pro základní vozidlo), při které se měří jízdní odpor v průběhu rychloběžných fází (oddíl 4.1), |
|
— |
zkouška při konstantní rychlosti (platí pro základní vozidlo), při které se měří spotřeba paliva při konstantní rychlosti. Zkouška vychází z konkrétního zkušebního cyklu složeného ze segmentů s konstantní rychlostí 120, 70, 50, 35 a 32 km/h (oddíl 4.2), |
|
— |
zkouška při volnoběhu (platí pro vozidlo s ekologickou inovací), při které se měří spotřeba paliva při volnoběhu (oddíl 4.3), |
|
— |
stanovení energie potřebné k synchronizaci motoru (oddíl 4.4). |
4.1. Dojezdová zkouška v rychloběžném režimu (základní vozidlo)
Za účelem změření jízdního odporu v rychloběžném režimu se provede dojezdová zkouška se zařazeným převodovým stupněm (viz obrázek 2). Zkouška se zopakuje minimálně třikrát a provede se po zkoušce podle WLTP typu I v průběhu schvalování typu s maximální prodlevou 15 minut. Křivka dojezdu vozidla se zaznamená alespoň třikrát po sobě.
4.1.1. Automatický převod
Vozidlo může zrychlit samo nebo pomocí dynamometru na minimální rychlost 130 km/h.
V průběhu každé dojezdové zkoušky se změří síly jízdních odporů, proud generátoru a proud všech baterií v krocích maximálně po 10 km/h.
Jízdní odpor v rychloběžném režimu se přepočítá z nastavení WLTP na nastavení NEDC podle vzorce 2:
Vzorec 2
kde:
|
ΔRESdrag |
je rozdíl mezi jízdním odporem při rychloběhu a při neutrálu, měřený za podmínek WLTP [N], |
|
|
je jízdní odpor měřený podle popisu v oddíle 3.2 [N], |
|
|
je jízdní odpor při rychloběhu, měřený za podmínek WLTP [N], |
|
|
je jízdní odpor podle NEDC přepočtený podle bodu 2.3.8 přílohy I prováděcího nařízení (EU) 2017/1153, jak je popsáno v oddíle 3.2 [N]. |
4.1.2. Manuální převod
U vozidel s manuálním převodem se dojezdová zkouška zopakuje při různých rychlostech a rychlostních stupních vozidla alespoň třikrát u každého rychlostního stupně:
|
— |
zrychlení pomocí motoru na minimálně 130 km/h a stabilizace na dobu 5 s, poté zahájení dojezdové zkoušky na nejvyšším rychlostním stupni a změření v intervalu 120–60 km/h, |
|
— |
zrychlení pomocí motoru na 90 km/h a stabilizace na dobu 5 s, poté zahájení dojezdové zkoušky na rychlostním stupni 5 a změření v intervalu 70–60 km/h, |
|
— |
zrychlení pomocí motoru na 70 km/h a stabilizace na dobu 3 s, poté zahájení dojezdové zkoušky na rychlostním stupni 3 a změření v intervalu 55–35 km/h, |
|
— |
zrychlení pomocí motoru na 60 km/h a stabilizace na dobu 5 s, poté začátek dojezdové zkoušky na rychlostním stupni 2 a změření v intervalu 40–15 km/h. |
V průběhu každé dojezdové zkoušky se změří síly jízdního odporu a proud generátoru a všech baterií [A] v krocích maximálně po 10 km/h.
Jízdní odpor v rychloběžném režimu se přepočítá z nastavení WLTP na nastavení NEDC podle vzorce 3 pro každý rychlostní stupeň x:
Vzorec 3
4.1.3. Zátěžová bilance baterie v rychloběžném režimu
Zátěžová bilance baterie/baterií v průběhu rychloběžných fází se vypočítá podle vzorce 4 nebo 5.
Pokud je vozidlo vybaveno primární a sekundární baterií, použije se vzorec 4:
Vzorec 4
kde:
|
|
: |
je energie rekuperovaná v průběhu i-té rychloběžné jízdy jako aritmetický průměr hodnot zjištěných při každé dojezdové zkoušce v rychloběžném režimu [Wh], |
|
|
: |
je doba trvání i-té rychloběžné jízdy [h], |
|
|
: |
je průměrný (z opakování rychloběžné zkoušky) naměřený výkon primární baterie v průběhu i-té rychloběžné jízdy [W], |
|
|
: |
je průměrný (z opakování rychloběžné zkoušky) naměřený výkon sekundární baterie v průběhu i-té rychloběžné jízdy [W], |
|
ηDCDC |
: |
je účinnost DC/DC měniče, která je nastavena na 0,92; jestliže DC/DC měnič není instalován, nastaví se tato hodnota na 1. |
Pokud je k dispozici pouze jedna baterie (tj. 12 V baterie), použije se místo toho vzorec 5:
Vzorec 5
Rekuperovaná energie se přepočítá na emise CO2 podle vzorce 6:
Vzorec 6
kde:
|
ηbat_discharge |
: |
je účinnost vybíjení baterie, která činí 0,94, |
|
ηalternator |
: |
je účinnost alternátoru, která činí 0,67, |
|
|
: |
je vzdálenost ujetá v průběhu i-té rychloběžné jízdy [km], |
|
Vpe |
: |
je spotřeba na efektivní výkon podle tabulky 3, |
|
CF |
: |
je přepočítací koeficient podle tabulky 4. |
Tabulka 3
Spotřeba na efektivní výkon
|
Typ motoru |
Spotřeba na efektivní výkon (Vpe) l/kWh |
|
Benzinový |
0,264 |
|
Benzinový s turbodmychadlem |
0,280 |
|
Naftový |
0,220 |
Tabulka 4
Přepočítací koeficient podle paliva
|
Druh paliva |
Přepočítací koeficient (CF) gCO2/l |
|
Benzin |
2 330 |
|
Nafta |
2 640 |
4.2. Zkouška při konstantní rychlosti
Spotřeba paliva ve fázi jízdy konstantní rychlostí se měří na válcovém dynamometru pomocí zařízení pro palubní monitorování spotřeby paliva a/nebo energie (OBFCM), které splňuje požadavky stanovené v příloze XXII nařízení (EU) 2017/1151.
Měření spotřeby paliva vychází ze způsobu jízdy, který zahrnuje všechny fáze jízdy podle NEDC při konstantní rychlosti 32, 35, 50, 70 a 120 km/h. Aby byly zajištěny stejné převodové stupně podle NEDC a zvolené rychlostní stupně pro vozidla s manuálním převodem, je sled fází jízdy konstantní rychlostí takový, jaká je uveden na obrázku 3.
Každá fáze konstantní rychlosti trvá 90 sekund a je rozdělena na 20 sekund ke stabilizaci rychlosti a emisí, 60 sekund, během nichž probíhá měření OBFCM, a 10 sekund k přípravě řidiče na následující jízdní manévr.
Rychlostní profil a profil zrychlení jsou popsány v dodatku 1 této přílohy.
Zkouška při konstantní rychlosti se provede po provedení dojezdové zkoušky v rychloběžném režimu, jak je uvedeno v oddíle 4.1.
Za účelem zjištění spotřeby paliva při konstantní rychlosti podle NEDC je třeba výsledky měření provedených při nastavení dynamometru při schvalování typu podle WLTP (jízdní zatížení vozidla a hmotnost vozidla) upravit na podmínky NEDC takto:
Vzorec 7
Vzorec 8
kde:
|
|
: |
jsou emise CO2 při konstantní rychlosti k (tj. 32, 35, 50, 70, 120 km/h) v průběhu i-té jízdy konstantní rychlostí [g CO2/km], |
|
|
: |
je naměřená (WLTP) hodnota spotřeby paliva při konstantní rychlosti k (tj. 32, 35, 50, 70, 120 km/h) jako aritmetický průměr měření [g/s], |
|
|
: |
je doba trvání i-té jízdy konstantní rychlostí [s], |
|
|
: |
je vzdálenost ujetá v průběhu i-té jízdy konstantní rychlostí [km], |
|
fuel_dens |
: |
je hustota paliva [kg/m3], |
|
|
: |
změna výkonu v důsledku nastavení jízdního odporu podle WLTP na dynamometru, k níž dojde při i-té jízdě konstantní rychlostí [kW], |
|
|
: |
je rozdíl jízdního odporu vozidla vypočtený z nastavení jízdního odporu podle WLTP a NEDC na dynamometru, k němuž dojde při i-té jízdě konstantní rychlostí, jak je uvedeno v oddíle 4.1 [N], |
|
|
: |
je konstantní rychlost jízdy (tj. 32, 35, 50, 70, 120 km/h) v průběhu i-té jízdy konstantní rychlostí [km/h]. |
Změří se proud generátoru a všech baterií a stav nabití baterií v průběhu každého 60sekundového intervalu měření se upraví v souladu s dodatkem 2 dílčí přílohy 8 přílohy XXI nařízení (EU) 2017/1151.
Spotřeba paliva v průběhu každé fáze jízdy konstantní rychlostí k se stanoví takto:
Vzorec 9
Vzorec 10
kde:
|
J |
: |
je počet bodů měření (J = 60) pro každou fázi konstantní rychlosti k (tj. 32, 35, 50, 70 a 120 km/h), |
|
|
: |
je j-té měření spotřeby paliva ve fázi konstantní rychlosti k (tj. 32, 35, 50, 70 a 120 km/h) [g/s], |
|
|
: |
je směrodatná odchylka spotřeby paliva ve fázi konstantní rychlosti k (tj. 32, 35, 50, 70 a 120 km/h). |
4.3. Spotřeba paliva při volnoběhu nebo zkouška při volnoběžných otáčkách
Spotřebu paliva při volnoběhu v průběhu setrvačné jízdy lze změřit přímo pomocí zařízení OBFCM, které splňuje požadavky stanovené v příloze XXII nařízení (EU) 2017/1151, a tuto naměřenou hodnotu lze použít pro výpočet
.
Alternativně lze pro výpočet
použít vzorec 12 podle této metodiky:
Spotřeba paliva při volnoběžných otáčkách motoru (g/s) se měří pomocí zařízení OBFCM, které splňuje požadavky stanovené v příloze XXII nařízení (EU) 2017/1151. Měření se provede ihned po zkoušce typu 1, kdy je motor ještě teplý, a to za těchto podmínek:
|
a) |
rychlost vozidla je nulová; |
|
b) |
systém start/stop je vypnutý; |
|
c) |
stav nabití baterie je vyvážený. |
Vozidlo se ponechá tři minuty na volnoběhu, aby se stabilizovalo. Spotřeba paliva se změří v průběhu 2 minut. První minuta se nebere v úvahu. Spotřeba paliva při volnoběhu se vypočítá jako průměrná spotřeba paliva vozidla v průběhu druhé minuty.
Výrobce může požádat, aby se měření spotřeby paliva vozidla při volnoběhu použilo také pro jiná vozidla ze stejné interpolační rodiny, pokud mají motory stejné volnoběžné otáčky. Výrobce prokáže schvalovacímu orgánu nebo technické zkušebně, že jsou tyto podmínky splněny.
Pokud se spotřeba paliva při volnoběžných otáčkách motoru liší při setrvačné jízdy a při volnoběhu při zastavení, uplatní se korekční faktor stanovený podle vzorce 11:
Vzorec 11
kde:
|
|
jsou střední volnoběžné otáčky motoru v průběhu setrvačné jízdy stanovené podle vzorce 14 [ot/min], |
|
|
jsou střední volnoběžné otáčky motoru při zastavení stanovené podle vzorce 15 [ot/min]. |
Střední volnoběžné otáčky motoru v průběhu setrvačné jízdy jsou aritmetickým průměrem středních otáček motoru naměřených prostřednictvím portu palubního diagnostického systému v průběhu zpomalování ze 130 km/h na 10 km/h v krocích po 10 km/h.
Alternativně lze použít poměr mezi maximálními možnými otáčkami motoru v průběhu setrvačné jízdy při zapnutém motoru a volnoběžných otáčkách při zastavení.
Pokud může výrobce prokázat, že zvýšení volnoběžných otáček motoru, k němuž dochází v průběhu fáze setrvačné jízdy, je nižší než 5 % volnoběžných otáček při zastavení, může být hodnota idle_corr nastavena na 1.
Upravené emise CO2 v průběhu každé fáze
[g CO2/km], odvozené ze spotřeby paliva při volnoběhu, se vypočítají podle vzorce 12:
Vzorec 12
kde:
|
|
: |
jsou emise CO2 v průběhu i-té volnoběžné fáze [g CO2/km], |
|
|
: |
je doba trvání i-té setrvačné jízdy [s], |
|
|
: |
je vzdálenost ujetá v průběhu i-té setrvačné jízdy [km], |
|
|
: |
je střední spotřeba paliva při volnoběhu při zastavení [g/s], která je aritmetickým průměrem 60 měření. |
Střední volnoběžné otáčky v průběhu setrvačné jízdy se měří v krocích po 10 km/h, přičemž se u každého kroku zohledňují měření U (s rozlišením 1 s), a vypočítají se podle vzorce 13:
Vzorec 13
Střední volnoběžné otáčky v průběhu setrvačné jízdy při zohlednění všech kroků H po 10 km/h se tedy vypočítají podle vzorce 14:
Vzorec 14
Střední volnoběžné otáčky při zastavení se vypočítají podle vzorce 15:
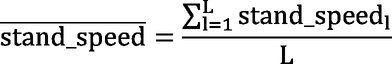
Vzorec 15
kde:
|
stand_speedl |
jsou volnoběžné otáčky motoru při zastavení v průběhu l-tého měření, |
|
L |
počet bodů měření. |
4.4. Stanovení energie potřebné k synchronizaci motoru
Emise CO2 při synchronizaci motoru v průběhu i-té setrvačné jízdy
[g CO2/km] se stanoví podle vzorce 16:
Vzorec 16
kde:
|
facc |
: |
je spotřeba paliva na zrychlení motoru z volnoběžných otáček na synchronizační rychlost [l], |
|
CF |
: |
je přepočítací koeficient stanovený v tabulce 4 [g CO2/l], |
|
|
: |
vzdálenost ujetá v průběhu i-té setrvačné jízdy [km]. |
Výrobci sdělí schvalovacímu orgánu/technické zkušebně hodnotu spotřeby paliva k synchronizaci motoru [l] stanovenou podle této metodiky:
4.4.1. Výpočet spotřeby paliva ke zrychlení motoru z volnoběžných otáček na synchronizační rychlost
Po dokončení setrvačné jízdy je nutné další množství energie (Eacc ke zrychlení motoru na synchronizační rychlost.
Energie potřebná ke zrychlení motoru vozidla na synchronizační rychlost (Eacc) je součtem energií vynaložených vozidlem na zrychlení a tření vozidla a vypočítá se podle vzorce 17:
Vzorec 17
Eacc = Eacc,kin + Eacc,fric
kde:
|
Eacc,kin |
: |
je energie vynaložená vozidlem na zrychlení [kJ], |
|
Eacc,fric |
: |
je energie vynaložená vozidlem na tření [kJ]. |
Tyto energie se vypočítají podle vzorců 18 a 19:
Vzorec 18
kde:
|
Ieng |
: |
je moment setrvačnosti motoru (podle konkrétního motoru) [kgm2], |
|
|
: |
je změna rychlosti motoru (z volnoběžných otáček ωidle na cílovou/synchronizační rychlost ωsync) [rad/s]. |
Vzorec 19
kde:
|
|
: |
je třecí točivý moment motoru (podle konkrétního motoru) [Nm], |
|
Δγacc |
: |
je změna úhlu otáčení [rad] stanovená podle vzorce 20: |
Vzorec 20
Δγacceng = (ωidle + 0,5•Δωacc) • Δtacc
s hodnotou Δtacc as defined in Formula 21: definovanou ve vzorci 21:
Vzorec 21
Δtacc = tsync – tidle
Množství paliva [l] potřebného k dosažení synchronizační rychlosti se pak vypočítá takto:
Vzorec 22
facc = (Eacc,kin + Eacc,fric)•VPe • 3,6
kde:
|
Vpe |
: |
je spotřeba na efektivní výkon podle tabulky 3 [l/kWh]. |
5. STANOVENÍ EMISÍ CO2 VOZIDLA S EKOLOGICKOU INOVACÍ ZA UPRAVENÝCH ZKUŠEBNÍCH PODMÍNEK (EMC)
Pro každou setrvačnou jízdu i se stanoví odpovídající emise CO2
[g CO2/km] vozidla s ekologickou inovací podle vzorce 23:
Vzorec 23
kde:
|
|
: |
jsou emise CO2 v průběhu i-té volnoběžné fáze, jak je stanoveno v bodě 4.3, |
|
|
: |
jsou emise CO2 při synchronizaci motoru v průběhu i-té setrvačné jízdy, jak je stanoveno v bodě 4.4. |
Celkové emise CO2 vozidla s ekologickou inovací v průběhu setrvačných jízd za upravených zkušebních podmínek (EMC) [g CO2/km] se stanoví podle vzorce 24:
Vzorec 24
kde:
|
I |
: |
je celkový počet setrvačných jízd (u vozidla s ekologickou inovací) a odpovídajících jízdních manévrů (u základního vozidla), |
|
i |
: |
je i-tá setrvačná jízda (u vozidla s ekologickou inovací) a odpovídající jízdní manévr (u základního vozidla). |
6. STANOVENÍ EMISÍ CO2 ZE ZÁKLADNÍHO VOZIDLA ZA UPRAVENÝCH PODMÍNEK (BMC)
Pro každý jízdní manévr odpovídající setrvačné jízdě i, jak je popsáno v oddíle 3.4, se stanoví emise CO2 ze základního vozidla za upravených podmínek
[g CO2/km] podle vzorce 25:
Vzorec 25
Celkové emise CO2 ze základního vozidla za upravených podmínek BMC [g CO2/km] se stanoví podle vzorce 26:
Vzorec 26
kde:
|
|
: |
jsou emise CO2 (aritmetický průměr) ze základního vozidla v průběhu i-té rychloběžné fáze za upravených zkušebních podmínek v důsledku bilance baterie [g CO2/km], jak je definováno vzorcem 6, |
|
|
: |
jsou emise CO2 při konstantní rychlosti k (tj. 32, 35, 50, 70, 120 km/h) v průběhu i-té jízdy konstantní rychlostí [g CO2/km], jak je definováno vzorcem 7. |
7. VÝPOČET SNÍŽENÍ EMISÍ CO2
Snížení emisí CO2 z funkce setrvačné jízdy při zapnutém motoru se stanoví podle vzorce 27:
Vzorec 27
kde:
|
|
: |
je snížení emisí CO2 [g CO2/km], |
|
BMC |
: |
jsou emise CO2 ze základního vozidla v průběhu jízdních manévrů odpovídajících setrvačné jízdě za upravených zkušebních podmínek [g CO2/km], |
|
EMC |
: |
jsou emise CO2 z vozidla s ekologickou inovací v průběhu setrvačných jízd za upravených zkušebních podmínek [g CO2/km], |
|
UFMC |
: |
je faktor použití technologie setrvačné jízdy za upravených podmínek, který činí 0,52 u vozidel vybavených automatickou převodovkou a 0,48 u vozidel vybavených manuální převodovkou s automatickou spojkou. |
8. VÝPOČET NEJISTOTY
Nejistota snížení emisí CO2
nesmí překročit 0,5 g CO2/km.
Tato nejistota snížení emisí CO2 se vypočítá takto:
Vzorec 28
kde:
|
|
: |
je směrodatná odchylka aritmetického průměru emisí CO2 ze základního vozidla v průběhu jízdních manévrů odpovídajících setrvačné jízdě za upravených zkušebních podmínek [g CO2/km], stanovená podle vzorce 29, |
|
|
: |
je směrodatná odchylka aritmetického průměru emisí CO2 z vozidla s ekologickou inovací v průběhu setrvačných jízd za upravených zkušebních podmínek [g CO2/km], stanovená podle vzorců 30 až 34, |
|
sUF |
: |
je směrodatná odchylka aritmetického průměru faktoru použití, která činí 0,027. |
se stanoví takto:
Vzorec 29
kde:
a
se v závislosti na hodnotě fidle stanoví takto:
Když fidle = fidle_meas:
Vzorec 30
Když fidle = fstandstill:
Vzorec 31
Když fidle = idle_corr • fstandstill:
Vzorec 32
kde:
Vzorec 33
přičemž:
Vzorec 34
9. CERTIFIKACE SNÍŽENÍ EMISÍ CO2 SCHVALOVACÍM ORGÁNEM
Schvalovací orgán certifikuje pro každou verzi vozidla vybaveného funkcí setrvačné jízdy při zapnutém motoru snížení emisí CO2 v souladu s článkem 11 prováděcího nařízení Komise (EU) č. 725/2011 podle nejnižší hodnoty snížení emisí CO2 stanovené pro vozidlo L, a vozidlo H z interpolační rodiny, do níž verze vozidla patří.
Při stanovení snížení emisí CO2 a jejich posuzování podle minimální prahové hodnoty snížení emisí 1 g CO2/km se zohlední nejistota snížení emisí CO2 stanovená podle oddílu 8, jak je uvedeno v oddíle 10.
Nejistota snížení emisí CO2 se vypočítá pro vozidlo H i vozidlo L z interpolační rodiny. Pokud u jednoho z těchto vozidel nejsou splněna kritéria stanovená v oddílech 8 nebo 10, schvalovací orgán necertifikuje snížení emisí u žádného z vozidel patřících do příslušné interpolační rodiny.
10. POSOUZENÍ PODLE MINIMÁLNÍ PRAHOVÉ HODNOTY
Při zohlednění nejistoty stanovené podle oddílu 8 musí hodnota snížení emisí CO2 překračovat minimální prahovou hodnotu 1 g CO2/km stanovenou v čl. 9 odst. 1 prováděcího nařízení (EU) č. 725/2011 takto:
Vzorec 35
kde:
|
MT |
: |
je minimální prahová hodnota (1 g CO2/km), |
|
|
: |
je snížení emisí CO2 [g CO2/km], |
|
|
: |
je nejistota snížení emisí CO2 [g CO2/km]. |
Pokud je minimální prahová hodnota podle vzorce 35 splněna, použije se čl. 11 odst. 2 druhý pododstavec prováděcího nařízení (EU) č. 725/2011.
Appendix
Cycle for constant speed fuel consumption measurement
|
Time |
speed |
acceleration * |
Gear for manual transmission |
|
[s] |
[km/h] |
[m/s2] |
[-] |
|
0 |
0,0 |
0,00 |
Neutral |
|
1 |
0,0 |
0,00 |
Neutral |
|
2 |
0,0 |
0,00 |
Neutral |
|
3 |
0,0 |
0,00 |
Neutral |
|
4 |
0,0 |
0,00 |
Neutral |
|
5 |
0,0 |
0,00 |
Neutral |
|
6 |
0,0 |
0,00 |
Neutral |
|
7 |
0,0 |
0,00 |
Neutral |
|
8 |
0,0 |
0,00 |
Neutral |
|
9 |
0,0 |
0,00 |
Neutral |
|
10 |
0,0 |
0,00 |
Neutral |
|
11 |
0,0 |
0,00 |
Neutral |
|
12 |
0,0 |
0,00 |
Neutral |
|
13 |
0,0 |
0,00 |
Neutral |
|
14 |
0,0 |
0,00 |
Clutch |
|
15 |
0,0 |
0,69 |
1 |
|
16 |
2,5 |
0,69 |
1 |
|
17 |
5,0 |
0,69 |
1 |
|
18 |
7,5 |
0,69 |
1 |
|
19 |
9,9 |
0,69 |
1 |
|
20 |
12,4 |
0,69 |
1 |
|
21 |
14,9 |
0,51 |
1 |
|
22 |
16,7 |
0,51 |
2 |
|
23 |
18,6 |
0,51 |
2 |
|
24 |
20,4 |
0,51 |
2 |
|
25 |
22,2 |
0,51 |
2 |
|
26 |
24,1 |
0,51 |
2 |
|
27 |
25,9 |
0,51 |
2 |
|
28 |
27,8 |
0,51 |
2 |
|
29 |
29,6 |
0,51 |
2 |
|
30 |
31,4 |
0,51 |
2 |
|
31 |
33,3 |
0,51 |
2 |
|
32 |
35,1 |
0,42 |
2 |
|
33 |
36,6 |
0,42 |
3 |
|
34 |
38,1 |
0,42 |
3 |
|
35 |
39,6 |
0,42 |
3 |
|
36 |
41,1 |
0,42 |
3 |
|
37 |
42,7 |
0,42 |
3 |
|
38 |
44,2 |
0,42 |
3 |
|
39 |
45,7 |
0,42 |
3 |
|
40 |
47,2 |
0,42 |
3 |
|
41 |
48,7 |
0,42 |
3 |
|
42 |
50,2 |
0,40 |
3 |
|
43 |
51,7 |
0,40 |
4 |
|
44 |
53,1 |
0,40 |
4 |
|
45 |
54,5 |
0,40 |
4 |
|
46 |
56,0 |
0,40 |
4 |
|
47 |
57,4 |
0,40 |
4 |
|
48 |
58,9 |
0,40 |
4 |
|
49 |
60,3 |
0,40 |
4 |
|
50 |
61,7 |
0,40 |
4 |
|
51 |
63,2 |
0,40 |
4 |
|
52 |
64,6 |
0,40 |
4 |
|
53 |
66,1 |
0,40 |
4 |
|
54 |
67,5 |
0,40 |
4 |
|
55 |
68,9 |
0,40 |
4 |
|
56 |
70,4 |
0,24 |
5 |
|
57 |
71,2 |
0,24 |
5 |
|
58 |
72,1 |
0,24 |
5 |
|
59 |
73,0 |
0,24 |
5 |
|
60 |
73,8 |
0,24 |
5 |
|
61 |
74,7 |
0,24 |
5 |
|
62 |
75,6 |
0,24 |
5 |
|
63 |
76,4 |
0,24 |
5 |
|
64 |
77,3 |
0,24 |
5 |
|
65 |
78,2 |
0,24 |
5 |
|
66 |
79,0 |
0,24 |
5 |
|
67 |
79,9 |
0,24 |
5 |
|
68 |
80,7 |
0,24 |
5 |
|
69 |
81,6 |
0,24 |
5 |
|
70 |
82,5 |
0,24 |
5 |
|
71 |
83,3 |
0,24 |
5 |
|
72 |
84,2 |
0,24 |
5 |
|
73 |
85,1 |
0,24 |
5 |
|
74 |
85,9 |
0,24 |
5 |
|
75 |
86,8 |
0,24 |
5 |
|
76 |
87,7 |
0,24 |
5 |
|
77 |
88,5 |
0,24 |
5 |
|
78 |
89,4 |
0,24 |
5 |
|
79 |
90,3 |
0,24 |
5 |
|
80 |
91,1 |
0,24 |
5 |
|
81 |
92,0 |
0,24 |
5 |
|
82 |
92,8 |
0,24 |
5 |
|
83 |
93,7 |
0,24 |
5 |
|
84 |
94,6 |
0,24 |
5 |
|
85 |
95,4 |
0,24 |
5 |
|
86 |
96,3 |
0,24 |
5 |
|
87 |
97,2 |
0,24 |
5 |
|
88 |
98,0 |
0,24 |
5 |
|
89 |
98,9 |
0,24 |
5 |
|
90 |
99,8 |
0,24 |
5 |
|
91 |
100,6 |
0,28 |
5/6 |
|
92 |
101,6 |
0,28 |
5/6 |
|
93 |
102,6 |
0,28 |
5/6 |
|
94 |
103,6 |
0,28 |
5/6 |
|
95 |
104,7 |
0,28 |
5/6 |
|
96 |
105,7 |
0,28 |
5/6 |
|
97 |
106,7 |
0,28 |
5/6 |
|
98 |
107,7 |
0,28 |
5/6 |
|
99 |
108,7 |
0,28 |
5/6 |
|
100 |
109,7 |
0,28 |
5/6 |
|
101 |
110,7 |
0,28 |
5/6 |
|
102 |
111,7 |
0,28 |
5/6 |
|
103 |
112,7 |
0,28 |
5/6 |
|
104 |
113,7 |
0,28 |
5/6 |
|
105 |
114,7 |
0,28 |
5/6 |
|
106 |
115,7 |
0,28 |
5/6 |
|
107 |
116,7 |
0,28 |
5/6 |
|
108 |
117,8 |
0,28 |
5/6 |
|
109 |
118,8 |
0,28 |
5/6 |
|
110 |
119,8 |
0,00 |
5/6 |
|
111 |
120,0 |
0,00 |
5/6 |
|
112 |
120,0 |
0,00 |
5/6 |
|
113 |
120,0 |
0,00 |
5/6 |
|
114 |
120,0 |
0,00 |
5/6 |
|
115 |
120,0 |
0,00 |
5/6 |
|
116 |
120,0 |
0,00 |
5/6 |
|
117 |
120,0 |
0,00 |
5/6 |
|
118 |
120,0 |
0,00 |
5/6 |
|
119 |
120,0 |
0,00 |
5/6 |
|
120 |
120,0 |
0,00 |
5/6 |
|
121 |
120,0 |
0,00 |
5/6 |
|
122 |
120,0 |
0,00 |
5/6 |
|
123 |
120,0 |
0,00 |
5/6 |
|
124 |
120,0 |
0,00 |
5/6 |
|
125 |
120,0 |
0,00 |
5/6 |
|
126 |
120,0 |
0,00 |
5/6 |
|
127 |
120,0 |
0,00 |
5/6 |
|
128 |
120,0 |
0,00 |
5/6 |
|
129 |
120,0 |
0,00 |
5/6 |
|
130 |
120,0 |
0,00 |
5/6 |
|
131 |
120,0 |
0,00 |
5/6 |
|
132 |
120,0 |
0,00 |
5/6 |
|
133 |
120,0 |
0,00 |
5/6 |
|
134 |
120,0 |
0,00 |
5/6 |
|
135 |
120,0 |
0,00 |
5/6 |
|
136 |
120,0 |
0,00 |
5/6 |
|
137 |
120,0 |
0,00 |
5/6 |
|
138 |
120,0 |
0,00 |
5/6 |
|
139 |
120,0 |
0,00 |
5/6 |
|
140 |
120,0 |
0,00 |
5/6 |
|
141 |
120,0 |
0,00 |
5/6 |
|
142 |
120,0 |
0,00 |
5/6 |
|
143 |
120,0 |
0,00 |
5/6 |
|
144 |
120,0 |
0,00 |
5/6 |
|
145 |
120,0 |
0,00 |
5/6 |
|
146 |
120,0 |
0,00 |
5/6 |
|
147 |
120,0 |
0,00 |
5/6 |
|
148 |
120,0 |
0,00 |
5/6 |
|
149 |
120,0 |
0,00 |
5/6 |
|
150 |
120,0 |
0,00 |
5/6 |
|
151 |
120,0 |
0,00 |
5/6 |
|
152 |
120,0 |
0,00 |
5/6 |
|
153 |
120,0 |
0,00 |
5/6 |
|
154 |
120,0 |
0,00 |
5/6 |
|
155 |
120,0 |
0,00 |
5/6 |
|
156 |
120,0 |
0,00 |
5/6 |
|
157 |
120,0 |
0,00 |
5/6 |
|
158 |
120,0 |
0,00 |
5/6 |
|
159 |
120,0 |
0,00 |
5/6 |
|
160 |
120,0 |
0,00 |
5/6 |
|
161 |
120,0 |
0,00 |
5/6 |
|
162 |
120,0 |
0,00 |
5/6 |
|
163 |
120,0 |
0,00 |
5/6 |
|
164 |
120,0 |
0,00 |
5/6 |
|
165 |
120,0 |
0,00 |
5/6 |
|
166 |
120,0 |
0,00 |
5/6 |
|
167 |
120,0 |
0,00 |
5/6 |
|
168 |
120,0 |
0,00 |
5/6 |
|
169 |
120,0 |
0,00 |
5/6 |
|
170 |
120,0 |
0,00 |
5/6 |
|
171 |
120,0 |
0,00 |
5/6 |
|
172 |
120,0 |
0,00 |
5/6 |
|
173 |
120,0 |
0,00 |
5/6 |
|
174 |
120,0 |
0,00 |
5/6 |
|
175 |
120,0 |
0,00 |
5/6 |
|
176 |
120,0 |
0,00 |
5/6 |
|
177 |
120,0 |
0,00 |
5/6 |
|
178 |
120,0 |
0,00 |
5/6 |
|
179 |
120,0 |
0,00 |
5/6 |
|
180 |
120,0 |
0,00 |
5/6 |
|
181 |
120,0 |
0,00 |
5/6 |
|
182 |
120,0 |
0,00 |
5/6 |
|
183 |
120,0 |
0,00 |
5/6 |
|
184 |
120,0 |
0,00 |
5/6 |
|
185 |
120,0 |
0,00 |
5/6 |
|
186 |
120,0 |
0,00 |
5/6 |
|
187 |
120,0 |
0,00 |
5/6 |
|
188 |
120,0 |
0,00 |
5/6 |
|
189 |
120,0 |
0,00 |
5/6 |
|
190 |
120,0 |
0,00 |
5/6 |
|
191 |
120,0 |
0,00 |
5/6 |
|
192 |
120,0 |
0,00 |
5/6 |
|
193 |
120,0 |
0,00 |
5/6 |
|
194 |
120,0 |
0,00 |
5/6 |
|
195 |
120,0 |
0,00 |
5/6 |
|
196 |
120,0 |
0,00 |
5/6 |
|
197 |
120,0 |
0,00 |
5/6 |
|
198 |
120,0 |
0,00 |
5/6 |
|
199 |
120,0 |
0,00 |
5/6 |
|
200 |
120,0 |
0,00 |
5/6 |
|
201 |
120,0 |
0,00 |
5/6 |
|
202 |
120,0 |
- 0,69 |
5/6 |
|
203 |
117,5 |
- 0,69 |
5/6 |
|
204 |
115,0 |
- 0,69 |
5/6 |
|
205 |
112,5 |
- 0,69 |
5/6 |
|
206 |
110,1 |
- 0,69 |
5/6 |
|
207 |
107,6 |
- 0,69 |
5/6 |
|
208 |
105,1 |
- 0,69 |
5/6 |
|
209 |
102,6 |
- 0,69 |
5/6 |
|
210 |
100,1 |
- 0,69 |
5/6 |
|
211 |
97,6 |
- 0,69 |
5/6 |
|
212 |
95,2 |
- 0,69 |
5/6 |
|
213 |
92,7 |
- 0,69 |
5/6 |
|
214 |
90,2 |
- 0,69 |
5/6 |
|
215 |
87,7 |
- 0,69 |
5/6 |
|
216 |
85,2 |
- 0,69 |
5/6 |
|
217 |
82,7 |
- 0,69 |
5/6 |
|
218 |
80,3 |
- 1,04 |
5/6 |
|
219 |
76,5 |
- 1,04 |
5/6 |
|
220 |
72,8 |
- 1,04 |
5/6 |
|
221 |
69,0 |
- 1,04 |
5/6 |
|
222 |
65,3 |
- 1,04 |
5/6 |
|
223 |
61,5 |
- 1,04 |
5/6 |
|
224 |
57,8 |
- 1,04 |
5/6 |
|
225 |
54,0 |
- 1,04 |
5/6 |
|
226 |
50,3 |
- 1,39 |
Clutch |
|
227 |
45,3 |
- 1,39 |
Clutch |
|
228 |
40,3 |
- 1,39 |
Clutch |
|
229 |
35,3 |
- 1,39 |
Clutch |
|
230 |
30,3 |
- 1,39 |
Clutch |
|
231 |
25,3 |
- 1,39 |
Clutch |
|
232 |
20,3 |
0,00 |
2 |
|
233 |
20,0 |
0,00 |
2 |
|
234 |
20,0 |
0,00 |
2 |
|
235 |
20,0 |
0,00 |
2 |
|
236 |
20,0 |
0,00 |
2 |
|
237 |
20,0 |
0,00 |
2 |
|
238 |
20,0 |
0,00 |
2 |
|
239 |
20,0 |
0,00 |
2 |
|
240 |
20,0 |
0,00 |
2 |
|
241 |
20,0 |
0,00 |
2 |
|
242 |
20,0 |
0,00 |
2 |
|
243 |
20,0 |
0,00 |
2 |
|
244 |
20,0 |
0,00 |
2 |
|
245 |
20,0 |
0,00 |
2 |
|
246 |
20,0 |
0,00 |
2 |
|
247 |
20,0 |
0,00 |
2 |
|
248 |
20,0 |
0,00 |
2 |
|
249 |
20,0 |
0,00 |
2 |
|
250 |
20,0 |
0,00 |
2 |
|
251 |
20,0 |
0,79 |
2 |
|
252 |
22,8 |
0,79 |
2 |
|
253 |
25,7 |
0,79 |
2 |
|
254 |
28,5 |
0,79 |
2 |
|
255 |
31,4 |
0,79 |
2 |
|
256 |
32,0 |
0,00 |
2 |
|
257 |
32,0 |
0,00 |
2 |
|
258 |
32,0 |
0,00 |
2 |
|
259 |
32,0 |
0,00 |
2 |
|
260 |
32,0 |
0,00 |
2 |
|
261 |
32,0 |
0,00 |
2 |
|
262 |
32,0 |
0,00 |
2 |
|
263 |
32,0 |
0,00 |
2 |
|
264 |
32,0 |
0,00 |
2 |
|
265 |
32,0 |
0,00 |
2 |
|
266 |
32,0 |
0,00 |
2 |
|
267 |
32,0 |
0,00 |
2 |
|
268 |
32,0 |
0,00 |
2 |
|
269 |
32,0 |
0,00 |
2 |
|
270 |
32,0 |
0,00 |
2 |
|
271 |
32,0 |
0,00 |
2 |
|
272 |
32,0 |
0,00 |
2 |
|
273 |
32,0 |
0,00 |
2 |
|
274 |
32,0 |
0,00 |
2 |
|
275 |
32,0 |
0,00 |
2 |
|
276 |
32,0 |
0,00 |
2 |
|
277 |
32,0 |
0,00 |
2 |
|
278 |
32,0 |
0,00 |
2 |
|
279 |
32,0 |
0,00 |
2 |
|
280 |
32,0 |
0,00 |
2 |
|
281 |
32,0 |
0,00 |
2 |
|
282 |
32,0 |
0,00 |
2 |
|
283 |
32,0 |
0,00 |
2 |
|
284 |
32,0 |
0,00 |
2 |
|
285 |
32,0 |
0,00 |
2 |
|
286 |
32,0 |
0,00 |
2 |
|
287 |
32,0 |
0,00 |
2 |
|
288 |
32,0 |
0,00 |
2 |
|
289 |
32,0 |
0,00 |
2 |
|
290 |
32,0 |
0,00 |
2 |
|
291 |
32,0 |
0,00 |
2 |
|
292 |
32,0 |
0,00 |
2 |
|
293 |
32,0 |
0,00 |
2 |
|
294 |
32,0 |
0,00 |
2 |
|
295 |
32,0 |
0,00 |
2 |
|
296 |
32,0 |
0,00 |
2 |
|
297 |
32,0 |
0,00 |
2 |
|
298 |
32,0 |
0,00 |
2 |
|
299 |
32,0 |
0,00 |
2 |
|
300 |
32,0 |
0,00 |
2 |
|
301 |
32,0 |
0,00 |
2 |
|
302 |
32,0 |
0,00 |
2 |
|
303 |
32,0 |
0,00 |
2 |
|
304 |
32,0 |
0,00 |
2 |
|
305 |
32,0 |
0,00 |
2 |
|
306 |
32,0 |
0,00 |
2 |
|
307 |
32,0 |
0,00 |
2 |
|
308 |
32,0 |
0,00 |
2 |
|
309 |
32,0 |
0,00 |
2 |
|
310 |
32,0 |
0,00 |
2 |
|
311 |
32,0 |
0,00 |
2 |
|
312 |
32,0 |
0,00 |
2 |
|
313 |
32,0 |
0,00 |
2 |
|
314 |
32,0 |
0,00 |
2 |
|
315 |
32,0 |
0,00 |
2 |
|
316 |
32,0 |
0,00 |
2 |
|
317 |
32,0 |
0,00 |
2 |
|
318 |
32,0 |
0,00 |
2 |
|
319 |
32,0 |
0,00 |
2 |
|
320 |
32,0 |
0,00 |
2 |
|
321 |
32,0 |
0,00 |
2 |
|
322 |
32,0 |
0,00 |
2 |
|
323 |
32,0 |
0,00 |
2 |
|
324 |
32,0 |
0,00 |
2 |
|
325 |
32,0 |
0,00 |
2 |
|
326 |
32,0 |
0,00 |
2 |
|
327 |
32,0 |
0,00 |
2 |
|
328 |
32,0 |
0,00 |
2 |
|
329 |
32,0 |
0,00 |
2 |
|
330 |
32,0 |
0,00 |
2 |
|
331 |
32,0 |
0,00 |
2 |
|
332 |
32,0 |
0,00 |
2 |
|
333 |
32,0 |
0,00 |
2 |
|
334 |
32,0 |
0,00 |
2 |
|
335 |
32,0 |
0,00 |
2 |
|
336 |
32,0 |
0,00 |
2 |
|
337 |
32,0 |
0,00 |
2 |
|
338 |
32,0 |
0,00 |
2 |
|
339 |
32,0 |
0,00 |
2 |
|
340 |
32,0 |
0,00 |
2 |
|
341 |
32,0 |
0,00 |
2 |
|
342 |
32,0 |
0,00 |
2 |
|
343 |
32,0 |
0,00 |
2 |
|
344 |
32,0 |
0,00 |
2 |
|
345 |
32,0 |
0,46 |
2 |
|
346 |
33,7 |
0,46 |
2 |
|
347 |
35,3 |
0,46 |
3 |
|
348 |
37,0 |
0,46 |
3 |
|
349 |
38,6 |
0,46 |
3 |
|
350 |
40,3 |
0,46 |
3 |
|
351 |
41,9 |
0,46 |
3 |
|
352 |
43,6 |
0,46 |
3 |
|
353 |
45,2 |
0,46 |
3 |
|
354 |
46,9 |
0,46 |
3 |
|
355 |
48,6 |
0,46 |
3 |
|
356 |
50,0 |
0,00 |
3 |
|
357 |
50,0 |
0,00 |
3 |
|
358 |
50,0 |
0,00 |
3 |
|
359 |
50,0 |
0,00 |
3 |
|
360 |
50,0 |
0,00 |
3 |
|
361 |
50,0 |
0,00 |
3 |
|
362 |
50,0 |
0,00 |
3 |
|
363 |
50,0 |
0,00 |
3 |
|
364 |
50,0 |
0,00 |
3 |
|
365 |
50,0 |
0,00 |
3 |
|
366 |
50,0 |
0,00 |
3 |
|
367 |
50,0 |
0,00 |
3 |
|
368 |
50,0 |
0,00 |
3 |
|
369 |
50,0 |
0,00 |
3 |
|
370 |
50,0 |
0,00 |
3 |
|
371 |
50,0 |
0,00 |
3 |
|
372 |
50,0 |
0,00 |
3 |
|
373 |
50,0 |
0,00 |
3 |
|
374 |
50,0 |
0,00 |
3 |
|
375 |
50,0 |
0,00 |
3 |
|
376 |
50,0 |
0,00 |
3 |
|
377 |
50,0 |
0,00 |
3 |
|
378 |
50,0 |
0,00 |
3 |
|
379 |
50,0 |
0,00 |
3 |
|
380 |
50,0 |
0,00 |
3 |
|
381 |
50,0 |
0,00 |
3 |
|
382 |
50,0 |
0,00 |
3 |
|
383 |
50,0 |
0,00 |
3 |
|
384 |
50,0 |
0,00 |
3 |
|
385 |
50,0 |
0,00 |
3 |
|
386 |
50,0 |
0,00 |
3 |
|
387 |
50,0 |
0,00 |
3 |
|
388 |
50,0 |
0,00 |
3 |
|
389 |
50,0 |
0,00 |
3 |
|
390 |
50,0 |
0,00 |
3 |
|
391 |
50,0 |
0,00 |
3 |
|
392 |
50,0 |
0,00 |
3 |
|
393 |
50,0 |
0,00 |
3 |
|
394 |
50,0 |
0,00 |
3 |
|
395 |
50,0 |
0,00 |
3 |
|
396 |
50,0 |
0,00 |
3 |
|
397 |
50,0 |
0,00 |
3 |
|
398 |
50,0 |
0,00 |
3 |
|
399 |
50,0 |
0,00 |
3 |
|
400 |
50,0 |
0,00 |
3 |
|
401 |
50,0 |
0,00 |
3 |
|
402 |
50,0 |
0,00 |
3 |
|
403 |
50,0 |
0,00 |
3 |
|
404 |
50,0 |
0,00 |
3 |
|
405 |
50,0 |
0,00 |
3 |
|
406 |
50,0 |
0,00 |
3 |
|
407 |
50,0 |
0,00 |
3 |
|
408 |
50,0 |
0,00 |
3 |
|
409 |
50,0 |
0,00 |
3 |
|
410 |
50,0 |
0,00 |
3 |
|
411 |
50,0 |
0,00 |
3 |
|
412 |
50,0 |
0,00 |
3 |
|
413 |
50,0 |
0,00 |
3 |
|
414 |
50,0 |
0,00 |
3 |
|
415 |
50,0 |
0,00 |
3 |
|
416 |
50,0 |
0,00 |
3 |
|
417 |
50,0 |
0,00 |
3 |
|
418 |
50,0 |
0,00 |
3 |
|
419 |
50,0 |
0,00 |
3 |
|
420 |
50,0 |
0,00 |
3 |
|
421 |
50,0 |
0,00 |
3 |
|
422 |
50,0 |
0,00 |
3 |
|
423 |
50,0 |
0,00 |
3 |
|
424 |
50,0 |
0,00 |
3 |
|
425 |
50,0 |
0,00 |
3 |
|
426 |
50,0 |
0,00 |
3 |
|
427 |
50,0 |
0,00 |
3 |
|
428 |
50,0 |
0,00 |
3 |
|
429 |
50,0 |
0,00 |
3 |
|
430 |
50,0 |
0,00 |
3 |
|
431 |
50,0 |
0,00 |
3 |
|
432 |
50,0 |
0,00 |
3 |
|
433 |
50,0 |
0,00 |
3 |
|
434 |
50,0 |
0,00 |
3 |
|
435 |
50,0 |
0,00 |
3 |
|
436 |
50,0 |
0,00 |
3 |
|
437 |
50,0 |
0,00 |
3 |
|
438 |
50,0 |
0,00 |
3 |
|
439 |
50,0 |
0,00 |
3 |
|
440 |
50,0 |
0,00 |
3 |
|
441 |
50,0 |
0,00 |
3 |
|
442 |
50,0 |
0,00 |
3 |
|
443 |
50,0 |
0,00 |
3 |
|
444 |
50,0 |
0,00 |
3 |
|
445 |
50,0 |
- 0,52 |
3 |
|
446 |
48,1 |
- 0,52 |
3 |
|
447 |
46,3 |
- 0,52 |
3 |
|
448 |
44,4 |
- 0,52 |
3 |
|
449 |
42,5 |
- 0,52 |
3 |
|
450 |
40,6 |
- 0,52 |
3 |
|
451 |
38,8 |
- 0,52 |
3 |
|
452 |
36,9 |
- 0,52 |
3 |
|
453 |
35,0 |
0,00 |
3 |
|
454 |
35,0 |
0,00 |
3 |
|
455 |
35,0 |
0,00 |
3 |
|
456 |
35,0 |
0,00 |
3 |
|
457 |
35,0 |
0,00 |
3 |
|
458 |
35,0 |
0,00 |
3 |
|
459 |
35,0 |
0,00 |
3 |
|
460 |
35,0 |
0,00 |
3 |
|
461 |
35,0 |
0,00 |
3 |
|
462 |
35,0 |
0,00 |
3 |
|
463 |
35,0 |
0,00 |
3 |
|
464 |
35,0 |
0,00 |
3 |
|
465 |
35,0 |
0,00 |
3 |
|
466 |
35,0 |
0,00 |
3 |
|
467 |
35,0 |
0,00 |
3 |
|
468 |
35,0 |
0,00 |
3 |
|
469 |
35,0 |
0,00 |
3 |
|
470 |
35,0 |
0,00 |
3 |
|
471 |
35,0 |
0,00 |
3 |
|
472 |
35,0 |
0,00 |
3 |
|
473 |
35,0 |
0,00 |
3 |
|
474 |
35,0 |
0,00 |
3 |
|
475 |
35,0 |
0,00 |
3 |
|
476 |
35,0 |
0,00 |
3 |
|
477 |
35,0 |
0,00 |
3 |
|
478 |
35,0 |
0,00 |
3 |
|
479 |
35,0 |
0,00 |
3 |
|
480 |
35,0 |
0,00 |
3 |
|
481 |
35,0 |
0,00 |
3 |
|
482 |
35,0 |
0,00 |
3 |
|
483 |
35,0 |
0,00 |
3 |
|
484 |
35,0 |
0,00 |
3 |
|
485 |
35,0 |
0,00 |
3 |
|
486 |
35,0 |
0,00 |
3 |
|
487 |
35,0 |
0,00 |
3 |
|
488 |
35,0 |
0,00 |
3 |
|
489 |
35,0 |
0,00 |
3 |
|
490 |
35,0 |
0,00 |
3 |
|
491 |
35,0 |
0,00 |
3 |
|
492 |
35,0 |
0,00 |
3 |
|
493 |
35,0 |
0,00 |
3 |
|
494 |
35,0 |
0,00 |
3 |
|
495 |
35,0 |
0,00 |
3 |
|
496 |
35,0 |
0,00 |
3 |
|
497 |
35,0 |
0,00 |
3 |
|
498 |
35,0 |
0,00 |
3 |
|
499 |
35,0 |
0,00 |
3 |
|
500 |
35,0 |
0,00 |
3 |
|
501 |
35,0 |
0,00 |
3 |
|
502 |
35,0 |
0,00 |
3 |
|
503 |
35,0 |
0,00 |
3 |
|
504 |
35,0 |
0,00 |
3 |
|
505 |
35,0 |
0,00 |
3 |
|
506 |
35,0 |
0,00 |
3 |
|
507 |
35,0 |
0,00 |
3 |
|
508 |
35,0 |
0,00 |
3 |
|
509 |
35,0 |
0,00 |
3 |
|
510 |
35,0 |
0,00 |
3 |
|
511 |
35,0 |
0,00 |
3 |
|
512 |
35,0 |
0,00 |
3 |
|
513 |
35,0 |
0,00 |
3 |
|
514 |
35,0 |
0,00 |
3 |
|
515 |
35,0 |
0,00 |
3 |
|
516 |
35,0 |
0,00 |
3 |
|
517 |
35,0 |
0,00 |
3 |
|
518 |
35,0 |
0,00 |
3 |
|
519 |
35,0 |
0,00 |
3 |
|
520 |
35,0 |
0,00 |
3 |
|
521 |
35,0 |
0,00 |
3 |
|
522 |
35,0 |
0,00 |
3 |
|
523 |
35,0 |
0,00 |
3 |
|
524 |
35,0 |
0,00 |
3 |
|
525 |
35,0 |
0,00 |
3 |
|
526 |
35,0 |
0,00 |
3 |
|
527 |
35,0 |
0,00 |
3 |
|
528 |
35,0 |
0,00 |
3 |
|
529 |
35,0 |
0,00 |
3 |
|
530 |
35,0 |
0,00 |
3 |
|
531 |
35,0 |
0,00 |
3 |
|
532 |
35,0 |
0,00 |
3 |
|
533 |
35,0 |
0,00 |
3 |
|
534 |
35,0 |
0,00 |
3 |
|
535 |
35,0 |
0,00 |
3 |
|
536 |
35,0 |
0,00 |
3 |
|
537 |
35,0 |
0,00 |
3 |
|
538 |
35,0 |
0,00 |
3 |
|
539 |
35,0 |
0,00 |
3 |
|
540 |
35,0 |
0,00 |
3 |
|
541 |
35,0 |
0,00 |
3 |
|
542 |
35,0 |
0,42 |
3 |
|
543 |
36,5 |
0,42 |
3 |
|
544 |
38,0 |
0,42 |
3 |
|
545 |
39,5 |
0,42 |
3 |
|
546 |
41,0 |
0,42 |
3 |
|
547 |
42,6 |
0,42 |
3 |
|
548 |
44,1 |
0,42 |
3 |
|
549 |
45,6 |
0,42 |
3 |
|
550 |
47,1 |
0,42 |
3 |
|
551 |
48,6 |
0,42 |
3 |
|
552 |
50,1 |
0,40 |
3 |
|
553 |
51,6 |
0,40 |
4 |
|
554 |
53,0 |
0,40 |
4 |
|
555 |
54,4 |
0,40 |
4 |
|
556 |
55,9 |
0,40 |
4 |
|
557 |
57,3 |
0,40 |
4 |
|
558 |
58,8 |
0,40 |
4 |
|
559 |
60,2 |
0,40 |
4 |
|
560 |
61,6 |
0,40 |
4 |
|
561 |
63,1 |
0,40 |
4 |
|
562 |
64,5 |
0,40 |
4 |
|
563 |
66,0 |
0,40 |
4 |
|
564 |
67,4 |
0,40 |
4 |
|
565 |
68,8 |
0,40 |
4 |
|
566 |
70,0 |
0,00 |
5 |
|
567 |
70,0 |
0,00 |
5 |
|
568 |
70,0 |
0,00 |
5 |
|
569 |
70,0 |
0,00 |
5 |
|
570 |
70,0 |
0,00 |
5 |
|
571 |
70,0 |
0,00 |
5 |
|
572 |
70,0 |
0,00 |
5 |
|
573 |
70,0 |
0,00 |
5 |
|
574 |
70,0 |
0,00 |
5 |
|
575 |
70,0 |
0,00 |
5 |
|
576 |
70,0 |
0,00 |
5 |
|
577 |
70,0 |
0,00 |
5 |
|
578 |
70,0 |
0,00 |
5 |
|
579 |
70,0 |
0,00 |
5 |
|
580 |
70,0 |
0,00 |
5 |
|
581 |
70,0 |
0,00 |
5 |
|
582 |
70,0 |
0,00 |
5 |
|
583 |
70,0 |
0,00 |
5 |
|
584 |
70,0 |
0,00 |
5 |
|
585 |
70,0 |
0,00 |
5 |
|
586 |
70,0 |
0,00 |
5 |
|
587 |
70,0 |
0,00 |
5 |
|
588 |
70,0 |
0,00 |
5 |
|
589 |
70,0 |
0,00 |
5 |
|
590 |
70,0 |
0,00 |
5 |
|
591 |
70,0 |
0,00 |
5 |
|
592 |
70,0 |
0,00 |
5 |
|
593 |
70,0 |
0,00 |
5 |
|
594 |
70,0 |
0,00 |
5 |
|
595 |
70,0 |
0,00 |
5 |
|
596 |
70,0 |
0,00 |
5 |
|
597 |
70,0 |
0,00 |
5 |
|
598 |
70,0 |
0,00 |
5 |
|
599 |
70,0 |
0,00 |
5 |
|
600 |
70,0 |
0,00 |
5 |
|
601 |
70,0 |
0,00 |
5 |
|
602 |
70,0 |
0,00 |
5 |
|
603 |
70,0 |
0,00 |
5 |
|
604 |
70,0 |
0,00 |
5 |
|
605 |
70,0 |
0,00 |
5 |
|
606 |
70,0 |
0,00 |
5 |
|
607 |
70,0 |
0,00 |
5 |
|
608 |
70,0 |
0,00 |
5 |
|
609 |
70,0 |
0,00 |
5 |
|
610 |
70,0 |
0,00 |
5 |
|
611 |
70,0 |
0,00 |
5 |
|
612 |
70,0 |
0,00 |
5 |
|
613 |
70,0 |
0,00 |
5 |
|
614 |
70,0 |
0,00 |
5 |
|
615 |
70,0 |
0,00 |
5 |
|
616 |
70,0 |
0,00 |
5 |
|
617 |
70,0 |
0,00 |
5 |
|
618 |
70,0 |
0,00 |
5 |
|
619 |
70,0 |
0,00 |
5 |
|
620 |
70,0 |
0,00 |
5 |
|
621 |
70,0 |
0,00 |
5 |
|
622 |
70,0 |
0,00 |
5 |
|
623 |
70,0 |
0,00 |
5 |
|
624 |
70,0 |
0,00 |
5 |
|
625 |
70,0 |
0,00 |
5 |
|
626 |
70,0 |
0,00 |
5 |
|
627 |
70,0 |
0,00 |
5 |
|
628 |
70,0 |
0,00 |
5 |
|
629 |
70,0 |
0,00 |
5 |
|
630 |
70,0 |
0,00 |
5 |
|
631 |
70,0 |
0,00 |
5 |
|
632 |
70,0 |
0,00 |
5 |
|
633 |
70,0 |
0,00 |
5 |
|
634 |
70,0 |
0,00 |
5 |
|
635 |
70,0 |
0,00 |
5 |
|
636 |
70,0 |
0,00 |
5 |
|
637 |
70,0 |
0,00 |
5 |
|
638 |
70,0 |
0,00 |
5 |
|
639 |
70,0 |
0,00 |
5 |
|
640 |
70,0 |
0,00 |
5 |
|
641 |
70,0 |
0,00 |
5 |
|
642 |
70,0 |
0,00 |
5 |
|
643 |
70,0 |
0,00 |
5 |
|
644 |
70,0 |
0,00 |
5 |
|
645 |
70,0 |
0,00 |
5 |
|
646 |
70,0 |
0,00 |
5 |
|
647 |
70,0 |
0,00 |
5 |
|
648 |
70,0 |
0,00 |
5 |
|
649 |
70,0 |
0,00 |
5 |
|
650 |
70,0 |
0,00 |
5 |
|
651 |
70,0 |
0,00 |
5 |
|
652 |
70,0 |
0,00 |
5 |
|
653 |
70,0 |
0,00 |
5 |
|
654 |
70,0 |
0,00 |
5 |
|
655 |
70,0 |
- 1,04 |
5 |
|
656 |
66,3 |
- 1,04 |
5 |
|
657 |
62,5 |
- 1,04 |
5 |
|
658 |
58,8 |
- 1,04 |
5 |
|
659 |
55,0 |
- 1,04 |
5 |
|
660 |
51,3 |
- 1,04 |
5 |
|
661 |
47,5 |
- 1,04 |
Clutch |
|
662 |
43,8 |
- 1,39 |
Clutch |
|
663 |
38,8 |
- 1,39 |
Clutch |
|
664 |
33,8 |
- 1,39 |
Clutch |
|
665 |
28,8 |
- 1,39 |
Clutch |
|
666 |
23,8 |
- 1,39 |
Clutch |
|
667 |
18,8 |
- 1,39 |
Clutch |
|
668 |
13,8 |
- 1,39 |
Clutch |
|
669 |
8,8 |
- 1,39 |
Clutch |
|
670 |
3,8 |
- 1,05 |
Clutch |
|
671 |
0,0 |
0,00 |
Clutch |
|
672 |
0,0 |
0,00 |
Neutral |
|
673 |
0,0 |
0,00 |
Neutral |
|
674 |
0,0 |
0,00 |
Neutral |
|
675 |
0,0 |
0,00 |
Neutral |
|
676 |
0,0 |
0,00 |
Neutral |
|
677 |
0,0 |
0,00 |
Neutral |
|
678 |
0,0 |
0,00 |
Neutral |
|
679 |
0,0 |
0,00 |
Neutral |
|
680 |
0,0 |
0,00 |
Neutral |
(1) Prováděcí nařízení Komise (EU) 2017/1153 ze dne 2. června 2017, kterým se stanoví metodika pro stanovení korelačních parametrů nezbytných pro zohlednění změn v regulačním zkušebním postupu a kterým se mění nařízení (EU) č. 1014/2010 (Úř. věst. L 175, 7.7.2017, s. 679).
(2) PM = zařazen neutrální rychlostní stupeň, spojka zapnuta. K1, K5 = zařazen první nebo druhý rychlostní stupeň, spojka vypnuta.
(3) Další rychlostní stupně lze použít podle doporučení výrobce, pokud je vozidlo vybaveno převodovkou s více než pěti rychlostními stupni.
(*1) Dosažená rychlost po čtyřech sekundách při zrychlení – 0,69 m/s2 je 60,064 km/h. Tato rychlost se používá také jako ukazatel rychlostních stupňů pro upravený cyklus NEDC.
(*2) dv4 > = 60,064 km/h.